1、Lidar测速的几种方案
直接法:通过FMCW回波的FFT变换,直接得出目标的速度,但是这里的速度是径向速度;这里的速率是每个Lidar点云直接的velocity measurement,是直接的测量值。
间接法:通过测量目标点云在两帧或者多帧之间的位移和时间的比值,计算出目标的速度;在实际的工程实现上,是需要先对Lidar的点云进行目标识别,完成目标的Tracking,在通过Tracking后的目标进行目标速度的估计,注意这里是velocity estimation,不是直接测量。
2、FMCW Lidar测速
多普勒效应:当目标与Lidar之间存在相对运动的,若Lidar发射信号的工作频率为𝑓0,则接收信号的频率为𝑓0 +𝑓𝑑, 𝑓𝑑为多普 勒频率。将这种由于目标相对辐射源的运动而导致回波信号频 率的变化称为多普勒效应。
图1 Doppler Effert公式推导过程如下
图2 多普勒推导过程由上述公式推导过程可以得出,只有在两个不同的惯性系中才有可能发生多普勒效应。
图3 多普勒公式总结从上图可以看到,光速c为常数,由于多普勒效应,频率和波长成反比变化。通过测量这里的频率或者波长的变化,可以测量目标的想对速度。
利用多普勒效应,主动生成跳频连续被FMCW(chirp)如下所示
图4 时域和频域在时域上无法区分信号时(上图红色和蓝色叠加伪绿色),可以在频域进行区分(红色和蓝色)。
图5 Chirp信号(时域与频域)
图6 Chirp信号(频率随时间变化)
图7 Up Chirp和Down Chirp
图8 Up Down Chirp有了FMCW之后,通过TX发射chirp信号(下图中的红色信号),目标物发射chirp信号(下图中的蓝色信号)。如果没有相对运动,则TX RX频差固定,通过这个频差,可以测量出相对距离。
图9 TX RX Chirp
图10 TX RX Chirp 混频
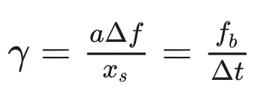
图11 TX RX Chirp 混频线性调频的调频速率定义如下

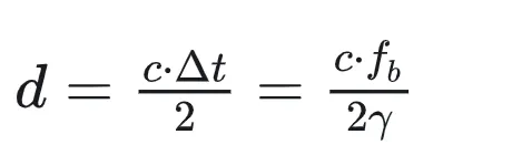
Lidar和目标之间的距离如下

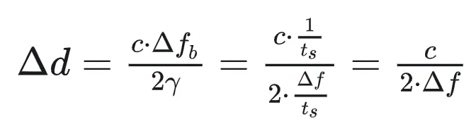
从上可以看到,距离d可以通过混频后的频率差fb得到,而不是△t;另外距离分辨率可以从下式得到

距离分辨率
图12 距离分辨率和扫频带宽(扫频时间X扫频速度)相关
图13 距离分辨率和扫频带宽(扫频时间X扫频速度)相关最大探测距离
图14 ADC采样频率限制了最大探测距离
图15 ADC采样频率限制了最大探测距离当目标存在相对速度时,这个速度在中频信号上,只能影响中频信号的相位变化,通过对IF相位变化的处理,可以得到目标的相对速度。
图16 中频信号的相位信息
图17 中频信号的相位信息
图18 中频信号的相位信息重复这些chirp,如下图
图19 中频信号的相位信息
图20 最大可测量速度
图21 速度分辨率
图22 距离和速度的组合测量
图23 距离和速度的组合测量
图24 数据Cubic,注意Lidar中目前没有多天线的方位向数据采集Ref:https://www.ti.com/content/dam/videos/external-videos/ko-kr/2/3816841626001/5415203482001.mp4/subassets/mmwaveSensing-FMCW-offlineviewing_0.pdf
3、间接速度测量
间接速度测量和卡尔曼滤波算法强相关,需要介绍一个kalman滤波算法
图25 Kalman Filter流程
图26 Kalman Filter流程
图27 Extended Kalman Filter流程
图28 Unscented Kalman Filter流程Ref:Object Tracking: Kalman Filter with Ease - CodeProject
和Kalman 滤波相关的还有运动学模型,影响Kalman滤波中的运动状态更新公式的选取。
图29 运动模型
图30 CTRV模型
图31 CTRV模型Ref:https://www.mdpi.com/1424-8220/22/15/5828
Ref:https://dsp.stackexchange.com/questions/43572/unscented-kalman-filter-equations-for-constant-turn-rate-and-velocity-process-mo
基于以上的,可以通过Lidar点云,识别得到运动目标,再对运动目标进行Kalman滤波,从而估计出运动目标的速度。
https://patents.google.com/patent/CN103901425A/zh
基于扩展卡尔曼滤波的横向速度估计
图32 目标横向速度估计
图33 目标横向速度估计https://www.mdpi.com/1424-8220/24/23/7718
图34 Inputs to our fusion tracking approach, where 3D detections from the LiDAR point-cloud are shown in the lower half of the image, and the camera 2D detections are shown in the upper half.
图35 目标速度简易测量OpenCV Vehicle Detection, Tracking, and Speed Estimation - PyImageSearch
上图的方法,实际上是无法在实际的ADAS项目中应用的。
图36 Kalman Filter得到目标的位置和速度ResearchGate - Temporarily Unavailable
图37 Kalman Filter得到目标的位置和速度https://techxplore.com/news/2023-12-vision-vehicles-road-real-time.html
How to Estimate Speed with Computer Vision
How to Estimate Speed with lidar point
https://www.mdpi.com/1424-8220/23/23/9426
https://www.mathworks.com/help/fusion/ug/track-vehicles-using-lidar.html
图38 Lidar点云和camera图像对目标进行联合估计Target Position and Speed Estimation Using LiDAR | SpringerLink
图39 目标状态估计ADAS系统控制策略的开发与测试_自动驾驶测试__汽车测试网