摘要
本文介绍了“滚动摩擦力”的由来,给出轿车启动时较准确的动力学方程,进而对以恒定有效功率启动的普通轿车的加速运动状况进行计算,获得相对较真实的速率随时间的变化图像。同时,针对某些关键环节给出了必要的说明,并为相关的基础物理教学提出了几点启示。文末继续给出了一些必要的说明,指出本文在本质上仍属于恒定有效输出功率下的理论模型研究,主要目的在于给出一幅较接近真实的运动图像,同时澄清一些认识,以供参考。
关键词 轿车;恒定有效功率;启动;“滚动摩擦力”;“牵引力”
Abstract This paper first introduces the origin of “rolling friction force”. Then, it provides a more accurate dynamic equation for a starting car. Furthermore, the acceleration motion of an ordinary car starting at a constant effective power is calculated to obtain a relatively realistic image of the speed changing over time. At the same time, it provides necessary explanations for some key aspects and offers several insights for related basic physics teaching. At the end of the article, some necessary explanations are provided too, and it is pointed out that this paper still belongs to the theoretical model research under a constant effective output power in essence. The main purpose of this paper is to provide a more realistic motion image and to clarify some understandings for reference.
Key words car; constant effective power; start up; “rolling friction force”; “traction force”
关于汽车在水平路面上启动过程中的动力学问题,目前国内已有不少文章对此进行了一定的研究,其中多数是发表在中学杂志上,典型的如文献[ 1 ]~文献[ 4 ]等。然而,或许是源自中学物理模型的局限性,这些文献中都存在着一些模型过于简化以及基本概念不清的问题,如“牵引力”、滚动摩擦、“滚动摩擦力”等概念不清的问题,以及忽略空气阻力的问题,忽略车轮、发动机飞轮等的转动动能及其变化的问题。这些问题将导致所计算出的汽车速率 v(t) 以及极限速率 vlim ,与实际的情况大相径庭。本文将一并考虑以上问题,同时采取一些必要的近似,对以恒定有效功率(本文中有时也特指额定功率)启动的普通轿车的运动状况进行较细致的分析,努力给出相对较准确的概念及运动图像,并加以说明。
1 滚动摩擦力矩及“滚动摩擦力”的由来简介
当圆柱形物体在支撑面上作无滑动的滚动时,由于支撑面的形变(见图 1 、图 2 ),或者圆柱形物体的形变(见图 3 、图 4 ),抑或两者皆发生形变(未画出),均会使得支撑面对圆柱形物体的支撑力 R 的作用点前移且方向指向后上方。支撑力 R 在支撑面法向的分力为 N ,切向的分力则为 f 。在接触部分形变不大时, f 可被近似地看作静摩擦力。图 1 、图 3 给出的是减速滚动时的相关力示意图,图 2 、图 4 给出的则是加速滚动时的相关力示意图;其中的重力皆未画出,支撑力 R 的方向已经考虑到角加速度的要求,而静摩擦力 f 的大小,从趋势上看,将随角加速度的增加而增加[5]。

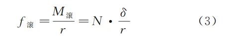
如图 1 所示,根据力学知识,法向支持力 N 对圆柱轴心 O 的力矩便是滚动摩擦力矩 M滚,大小为

式( 1 )中的力臂 δ 称为滚动摩擦因数,理论上它与接触面的材料、粗糙程度、形变程度、滚动速度等有关[6,7]。但是在速度不很大的情况下,对于给定的圆柱形物体与支撑面, δ 随滚动速度变化很小,可以近似视作一常量[7]。这就是说,当速度不很大时,图 1 与图 2 (或者图 3 与图 4 )中的滚动摩擦力矩 M滚 相等,且与静摩擦力 f 无关。 M滚 总是阻碍着物体的滚动,事实上它也总是在做负功;而静摩擦力 f 则不做功。为了方便计算汽车的平动状况,人们通常把 M滚 对滚动物体的转动所做的负功,等效成一个虚拟的“滚动摩擦力” f 滚对物体的平动做负功[5],即有

其中, s 是平动的路程, θ 是滚过的角度,f滚 、M滚 各为对应矢量的大小(下文也称“滚动摩擦力”、滚动摩擦力矩,依此类推)。现设圆柱形物体的半径为 r ,并设其与路面接触部分的形变很小,于是则有 s≈rθ ,将式( 1 )代入式( 2 )即得

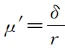
将式( 3 )中的 δ/r 称作滚动阻力因数,记作 μ′ ,于是又有

μ′ 与 δ 的性质相同,在速度不太大且其他条件一定时, μ′ 也可近似视作一与速度无关的常数(注:通常负载下 HR 级子午线轮胎在良好的沥青路面上从 0→60m/s 行驶时 μ′ 仅从 0.0110→0.0124[7] )。需要注意的是,“滚动摩擦力” f滚 与图 1 ~图 4 中的静摩擦力 f 完全不同—— f滚 与滚动物体的加速度是无关的!
2 轿车启动时的动力学方程
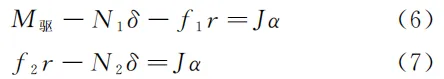
如图 5 所示,设轿车在水平直路面上自静止开始启动,前轮(实际是前两车轮,表述需要,下同)是驱动轮,后轮(实际是后两车轮,同样是表述需要,下同)是从动轮。车轮的受力、前轮的驱动力矩 M驱 ,以及车身受到的空气阻力 F 风阻均已在图中标示出。

图 5 中 N1 、N2 分别为路面对前、后轮竖直向上的支持力(静止时 N1 一般略大于 N2 ),它们的合力与整车的重力(图 5 中未画出)相平衡; G 为前、后轮的自重(设前、后车轮完全相同); F1 、F2 分别为车身对前、后轮轴向下的压力; f1 、f2 分别为前、后轮受到路面朝前、朝后的静摩擦力; F′ 、F″ 则分别为前、后轮轴受到车身向后、向前的拖拽力。现设前、后轮胎的形变差不多,并且都很小,此即设前、后轮的滚动摩擦因数 δ 和滚动阻力因数 μ′=δ/r 均一致,于是对前、后轮分别运用对各自轴心的转动定理可得

其中, J 为前、后车轮对各自轴心的相同的转动惯量, α 则为共同的角加速度。将式( 6 )与式( 7 )相加便得

其中, N1+N2 即为轿车的总重量 m轿车g ,2J 即为轿车 4 车轮的总转动惯量J 总。
设轿车的平动加速度为 a ,则其平动动力学方程为

轿车的驱动力也即“牵引力”一般定义为

车轮的无滑动滚动条件为 a=αr ,滚动阻力因数为
。于是,联立式( 8 )~式( 10 ),式( 8 )便可以改写成

式( 11 )便是更具有实际意义的轿车启动时的平动动力学方程。它比式( 9 )优越之处在于方程左边的 f牵 与 m轿车gμ′ 更具有实际意义。
尽管如此,式( 11 )仍然不是最适当的方程形式。这是因为轿车发动机的飞轮、传动齿轮等有着较大的转动惯量,当轿车加速时,它们在高速转动的状态下做加速转动也会分得一部分来自发动机的能量,这将使得作用在前轮上的驱动力矩 M驱有所下降,也即实际“牵引力” f牵 有所下降[7]。因此,当轿车启动时,其更适当的平动动力学方程需要修改成如下形式[7]

其中, P有效 是发动机克服摩擦等损耗之后的有效输出功率,它约为发动机原始输出功率的 0.90 倍[7];比例系数 k (>1) 称为汽车的旋转质量换算系数,它已将车轮、发动机飞轮、传动齿轮等的转动动能随时间增加的因素一并考虑在内。尽管k是一个随着车速的增加而不断减小的变数,但是在本文这里——作为稍粗略的近似计算,可将它简单地视作一常数 1.1 ,也即轿车 3 档车速时的 k 值[7]。
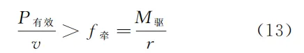
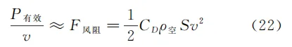
从式( 10 )~式( 12 )不难看出,当 P有效 一定时, P有效/v 就相当于理论上的“牵引力”或驱动力[7],同时也是轿车达到其极限速率 vlim(a=0)时的实际“牵引力” f牵 。当轿车加速时有

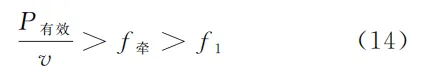
即理论上的“牵引力”大于实际“牵引力”,而当轿车达到其极限速率时,这两者则相等。此外,如果在轿车启动时将图 5 中的静摩擦力 f1 也考虑进来,则此时
之间的大小关系为

由此可见这三者的物理意义是各不相同的。
3 以恒定的有效功率启动时普通轿车的加速运动状况分析
3.1 普通轿车在启动过程中所受到的风阻与“滚动摩擦力”
轿车受到的空气阻力也即风阻 F风阻 的表达式为[5]

其中, CD是轿车的空气阻力系数,一般可设 CD≈0.30 ;ρ空 是空气密度,在常温( 15℃ )常压( 1atm )下有 ρ空≈1.226kg/m3 ; S 是轿车的迎风投影面积,不妨设为 1.90m2[7] ; v 则是静止空气中的车速。于是, F风阻 的数值表达式可写成

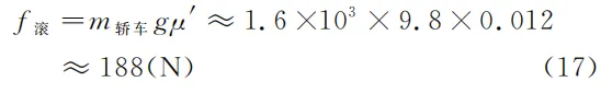
假设轿车的质量 m轿车=1.6×10³kg(空载) ,发动机的有效输出功率 P有效=100kW (此处为额定功率,下同),重力加速度 g=9.8m/s2 ,同时为了简化起见,假设轮胎与路面之间的滚动阻力因数 μ′≈0.012[7] ,于是, 4 个轮胎受到的总的“滚动摩擦力”为

F风阻 与 f滚 之间的对比如图 6 所示。从图 6 中可见,当车速 v>23.18m/s 也即 v>83.4km/h 时, F风阻 将大于 f滚 ,风阻将逐渐成为轿车所受外界阻力的主要成分。此外,从图 6 中又可见,当车速 v<5m/s 时,可以只考虑来自路面的“滚动摩擦力” f滚 而无需考虑风阻 F风阻 。

3.2 以恒定有效功率启动时普通轿车的速率随时间的变化
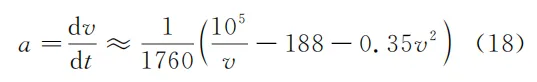
将 P有效=100kW 、 m轿车=1.6×103kg(空载) 、 k≈1.1 ,以及式( 16 )、式( 17 )一起代入式( 12 ),即得所设计的轿车的加速度为

令式( 18 )中的 a=0 ,即可求得此轿车以 P有效=100kW 的恒定(额定)输出功率启动时的极限速率

此外,应用 Matlab 软件将式( 18 )数值积分,即可求得该轿车的 v-t 图像,如图 7 所示。

经查[8],帕萨特 280TSI 商务版(自动挡)轿车的空载质量(单人、无货)约为 1.53×103kg ,迎风面积约为 2.3m2[7] ,额定功率约为 110kW ,最高车速约为 210km/h ,百公里时速的最短加速时间约为 9.3s (图 7 中约为 7.3s )。考虑到该车的迎风面积 S 要比本文的轿车大一些,以及实际启动至额定功率需要一小段短暂的时间,可见图 7 中所展示的启动状况与实际普通轿车以额定功率全速启动时的运动状况大致相符。
4 必要的说明
虽然式( 9 )是轿车最直接的平动动力学方程,但是其中的两个静摩擦力 f1 、 f2 都是被动力,受其他因素影响太多,比如 f1 、 f2 均依赖于路面的滚动摩擦状况( δ )和轿车的加速状况( α )[见式( 6 )、式( 7 )], f1 还依赖于轿车发动机的有效输出功率( P有效 )以及飞轮等的加速转动因素( k )[见式( 6 )、式( 11 )、式( 12 )]。
式( 11 )则是较实际的轿车平动动力学方程。虽然其中的“牵引力” f牵 、“滚动摩擦力” m轿车gμ′ ,分别由作用在前轮上的驱动力矩 M驱 、作用在 4 车轮上的滚动摩擦总力矩 ( N1+N2 )δ [见式( 8 )],同除以车轮半径 r 后等效虚拟得来,但是它们相较于 f1 、 f2 ,物理意义却更加明确,更符合人们的认知,并且看上去也更像是主动力。式( 11 )的不足之处在于f牵的具体数值不够明朗,它会受到发动机飞轮等的加速转动分流能量的影响。
轿车相对最实际的平动动力学方程是式( 12 ),其中各项的物理意义及具体数值都是明确的!因此它通常被用于水平路面上轿车运动的相关理论计算。从本文计算的结果图 7 可见,式( 12 )所表达的运动是比较符合实际的。此外,由于 P有效 是整个轿车的动力来源,因此本文将式( 12 )中的 P有效/v 称作理论上的“牵引力”;它一方面提供了实际的“牵引力” f牵(=M驱/r),另一方面也为发动机飞轮等的加速转动提供了能量,直至轿车达到极限速率时有 P有效/v=f牵 。
当然,“牵引力” f牵 和“滚动摩擦力” m轿车gμ′ 毕竟都是为了方便而引入的虚拟力,它们并不能被用于通常的受力分析。若要受力分析,还得像图 5 中那样使用实际的静摩擦力 f1 、 f2 ,以及支持力 N1 、 N2 。
如果上文所设计的轿车是满载的,如设 m轿车=1.9×103kg 而其他条件不变,则按照式( 12 )也可以类似地计算出轿车的 v-t 图像,如图 8 所示。此时所算得的轿车的极限速率约为 62.64m/s ,与上文轿车空载时的 63.15m/s 相比,相差无几。对比这两种情形下的 v-t 图像(注:图 7 中 v 是从 0→62.5m/s ,图 8 中 v 是从 0→62m/s ,两图中的末速率均为各自极限速率的 99.0% ),可以发现,当轿车的总重量增加时,其加速过程确实受到了延缓,但是这两种情形下的极限速率却相差无几。这即表明:轿车的总重量对极限速率的影响很小,当轿车高速行驶时,风阻占了绝对的主导,参见图 6 。

5 给基础物理教学的启示
发动机的飞轮、传动齿轮、轿车的 4 个轮胎一起在做加速转动时会消耗不少来自发动机的有效输出能量,导致轿车的旋转质量换算系数 k>1 (本文取了一个折中值 1.1 ),因此从贴近物理事实的角度讲,在研究轿车的实际启动加速问题时,这个旋转质量换算系数 k 不应被忽视。
从图 6 中可见,只有当轿车的车速 v<5m/s 时,才能忽略风阻 F风阻 而只考虑来自路面的“滚动摩擦力” f滚 。因此,忽略风阻时的动力学方程

只能适用于轿车启动的早期阶段。
在轿车启动加速时,理论上的“牵引力” P有效/v 会大于实际“牵引力” f牵(=M驱/r),更大于路面对驱动轮的静摩擦力 f1 ,详见式( 14 )。
令式( 11 )、式( 12 )中的 a=0 ,即得轿车的极限速率所需满足的方程为

可见这时理论上的“牵引力” P有效/v 才与实际“牵引力” f牵 相等,但仍大于静摩擦力 f1 。那么,此时式( 21 )中的“滚动摩擦力” m轿车gμ′ 是否能够被近似忽略呢?从图 6 中可见,当本文空载轿车的车速接近其极限速率 vlim 时,“滚动摩擦力” m轿车gμ′ 大约是风阻 F风阻 的 1/7 。初看起来,这时的“滚动摩擦力”尚不能被近似忽略;但是实际上,式( 21 )是一个关于速率 v 的 3 次方程,即使忽略了受力占比 1/8 的 m轿车gμ′ ,这给 vlim 所带来的相对误差也不大——仅 1/24 左右。这就意味着,在精确度要求不高并且 vlim 较大的情况下,式( 21 )可以被近似地约简为

由此所计算出的本文空载轿车在 P有效=100kW 下的极限速率约为 65.86m/s ,相对于上文式( 19 )的准确值 63.15m/s ,误差仅为 +4.3% 。当然,这些结论是在 P有效=100kW 的前提下获得的,倘若 P有效 远小于 100kW ,则 vlim 将显著地小于 63.15m/s ,此时即使轿车达到极限速率匀速行驶,“滚动摩擦力” m轿车gμ′ 也不能被忽略,即式( 22 )不能成立。
6 总结与说明
本文默认轿车的轮胎和水平路面都足够优良,滚动阻力因数 μ′ 的数值较小且随车速的变化幅度不大,因此将 μ′ 近似视作一常数 0.012 以简化研究,车轮所受到的总的“滚动摩擦力”则为 μ′m轿车g。本文从能量的角度出发,将轿车启动时较准确的动力学方程写成式( 12 )的形式,并为其中的旋转质量换算系数 k 取了一个 3 档车速下的数值 1.1 ,这样一方面可以简化计算,另一方面可以折中一下低、高速的情况。需要指出的是,当轿车高速行驶时,周围的空气其实还会对轿车有个升力的作用,不过该升力相比于轿车的自重很小[7],故而本文已将其忽略。综上可见,本文事实上已经引入了 μ′≈0.012 、 k≈1.1 、忽略空气升力这 3 个近似,因此本文仍属于理想化的模型研究;不过从式( 12 )所计算出的启动结果图 7 、 8 来看,该模型研究基本上可靠。
对于基础物理教学而言,本文不建议忽视式( 12 )中的旋转质量换算系数 k ,毕竟它有着 10% 左右的总质量修正,除非轿车处于匀速行驶状态即 a=0 。从图 6 中可见,在 v<5m/s 的低速情况下,式( 12 )中的风阻 F风阻 才可以被近似忽略,即式( 20 )成立;而当轿车以较大的极限速率 vlim(>60m/s) 匀速行驶时,式( 12 )中的“滚动摩擦力” m轿车gμ′ 才能被近似地忽略,即式( 22 )成立。另外,本文所说理论上的“牵引力” P有效/v 、实际“牵引力”f牵(=M驱/r)、作用在前驱动轮上的静摩擦力 f1 ,这三者的物理意义各不相同,不能混为一谈!在轿车加速时这三者的大小关系为 P有效/v>f牵>f1 ,而在轿车匀速运动时则有 P有效/v=f牵>f1 。
参考文献
[1]沈江天,周和建.关于汽车牵引力的系列问题辩证[J].物理教师,2023,44(7):58-60.
SHEN J T, ZHOU H J. Dialectical analysis of a series of issues regarding automotive traction[J]. Physics Teacher, 2023, 44(7): 58-60. (in Chinese)
[2]周伟波,范青峰.“汽车启动”习题引发的讨论[J].物理教学,2020,42(12):74-75.
ZHOU W B, FAN Q F. Discussion triggered by an exercise of “Car Start”[J]. Physics Teaching, 2020, 42(12): 74-75. (in Chinese)
[3]陈国杰,陈奎,谢嘉宁,等.汽车牵引力的物理图像与本质探讨[J].物理教师,2017,38(7):70-72.
CHEN G J, CHEN K, XIE J N, et al. The physical image and essence exploration of automotive traction force[J]. Physics Teacher, 2017, 38(7): 70-72. (in Chinese)
[4]王永波,王云秀,张冉.“发动机功率”就是“牵引力功率”吗[J].中学物理,2013,31(9):65.
WANG Y B, WANG Y X, ZHANG R. Is “engine power” equivalent to “traction power”[J]. Middle School Physics, 2013, 31(9): 65. (in Chinese)
[5]邵云,窦瑾.浅议滚动摩擦及轿车最大速度的估算[J].物理与工程,2020,30(4):96-101.
SHAO Y, DOU J. A brief discussion on rolling friction and an estimation of the maximum speed of a car[J]. Physics and Engineering, 2020, 30(4): 96-101. (in Chinese)
[6]漆安慎,杜婵英.普通物理学教程:力学[M].3版.北京:高等教育出版社,2012:240-243.
QI A S, DU C Y. General physics course: Mechanics[M]. 3rd ed. Beijing: Higher Education Press, 2012: 240-243. (in Chinese)
[7]余志生,夏群生.汽车理论[M].4版.北京:机械工业出版社,2006:2-3,5,7-9,11-12,14-18,23-24.
YU Z S, XIA Q S. Automobile theory[M]. 4th ed. Beijing: Machinery Industry Press, 2006: 2-3, 5, 7-9, 11-12, 14-18, 23-24. (in Chinese)
[8]百度百科.帕萨特[EB/OL]. (2024-02-01)[2024-06-05]. https://baike.baidu.com/item/帕萨特/1023285.
通信作者: 邵云,shaoyun1973@163.com。
引文格式: 邵云. 以恒定的有效功率启动时普通轿车的运动状况分析[J]. 物理与工程,2025,35(3):57-62.
Cite this article: SHAO Y. Analysis of the motion of an ordinary car starting at a constant effective power[J]. Physics and Engineering, 2025, 35(3): 57-62. (in Chinese)
END



更多精彩文章请点击下面“蓝字”标题查看:
《物理与工程》期刊是专注于物理教育教学研究的学术期刊,是中国科技核心期刊,1981年创刊,欢迎踊跃投稿,期刊投审稿采编平台:
http://gkwl.cbpt.cnki.net

欢迎关注
《物理与工程》微信公众号
