Assessing Alternative Approaches for Conveying Automated Vehicle “Intentions”
评估传达自动驾驶汽车“意图”的替代方法
作者:Alexis Basantis, Marty Miller, Zachary Doerzaph
1.引言
机动车碰撞所致意外伤害死亡为美国成年人第三大死因,且多数道路交通事故由人为失误引发,高度自动驾驶车辆(HAV)被认为是提升道路安全的重要方向,其首批客运应用也预计落地网约车、公共交通等场景。但公众对 HAV 普遍存在固有不信任感,核心源于车辆行驶中系统透明度不足,且系统故障时用户缺乏有效控制手段,用户的信任、舒适与安全感知也成为 HAV 普及的主要障碍,而提升人车通信效率的人机界面(HMI)是破解该问题的关键。为此,本研究通过实车实验评估视觉、听觉、混合模态三种在途 HMI 系统向用户传递车辆“意图”的效果,探究 HMI 模态与用户舒适、安全、信任感知的关联,识别影响用户对 HAV 基础舒适感的关键行为特征,旨在为优化 HAV 的 HMI 设计、提升系统透明度与用户接受度提供实证依据。
2.研究内容
本研究以高度自动驾驶车辆(HAV)乘用者为研究对象,采用实车仿真重复测量实验设计,通过无HMI、听觉单模态、视觉单模态、混合模态四种人机界面(HMI)类型,结合行人过街、跟车/施工区变道、左转、乘客接驾等多类行驶场景组合,探究上述界面类型及车辆行驶速度、相对间距等客观因素,以及感觉寻求倾向、自动驾驶技术接触经历、信任度等心理行为因素对乘用者舒适、信任、安全感知及车辆“意图”理解度的影响,同时验证“绿野仙踪”实车仿真方法在自动驾驶人车交互研究领域中的适用性,为HAV人机界面的优化设计及车人高效安全互动提供实证支撑。
3.研究方法
3.1 参与者
排除知情组的实验数据后,最终有 30 名参与者完成实验,性别在各 HMI 实验组中平均分布。受研究范围限制,参与者年龄集中在 25-38 岁,该群体是网约车的核心使用人群,未来研究需进一步拓展年龄范围,考虑不同年龄段用户的需求。所有参与者均从普通公众中招募,对自动驾驶车辆的了解有限,且无高度自动驾驶车辆(HAV)的使用经历,避免过往经验对实验结果产生干扰。各 HMI 条件的样本量分布如表 1 所示,混合模态组样本量较少由实验时间限制导致。
表1 研究样本量分布

3.2 实验场景与仿真工具
实验场景均源于网约车实际驾驶中的典型事件,车辆行驶速度设定为 15-35mi/h,高于当时市面上自动驾驶班车 7-25mi/h 的常规速度,以此提升实验车辆对未来 HAV 大规模部署的代表性,更贴合真实的用户体验。所有实验均以无 HMI 基线场景开始,让参与者熟悉车辆和实验环境,后续四次实验场景通过反向平衡法随机分配,确保场景顺序对实验结果的影响均匀化。
为在安全、可控的条件下模拟行人过街场景,研究采用重型车辆远程规避操纵目标(HV-REMO) 设备,该设备由远程操控底座和充气人形靶组成,充气人形靶通过魔术贴固定在底座上,由道路上的实验人员远程操控,即使被车辆碾压或撞击,也不会对车辆和设备造成明显损坏,保障实验安全,其设备形态如图 1 所示。

图1 智能道路上的HV-REMO底座(左)与本研究使用的充气人形软靶(右)
实验共设计 5 类典型场景,覆盖 HAV 日常行驶的核心操作,具体如下:
1.基线场景:HMI 系统关闭,无任何突发事件,参与者沿智能道路的城市段和高速段循环行驶,车速不超过 35mi/h,核心目的是让参与者熟悉车辆自动化操作和实验环境。
2.行人过街场景:车辆从城市段出发,行驶至直道段后,在交叉口完全停车 10 秒,让 HV-REMO 模拟的行人过街,HMI 系统同步提示行人存在。
3.跟车 / 施工区变道场景:车辆跟随协同驾驶员驾驶的前车停车 10 秒后,两车共同右转进入高速段,随后车辆独自行驶,在施工区完成减速至 15mi/h、变道、回原车道的操作;车辆行驶至城市段主交叉口停车 10 秒时,HV-REMO 模拟行人在非行驶路径过街,以此增加驾驶环境的视觉复杂性,验证车辆的危险识别能力。
4.左转场景:模拟复杂城市道路的左转操作,车辆在交叉口停车 10 秒后左转,同时 HV-REMO 模拟行人过街;由于行人不在车辆预期行驶路径上,不属于危险目标,因此仅视觉 HMI 提示行人存在,仅听觉 HMI 不触发任何警报。
5.乘客接驾场景:模拟网约车的接驾流程,车辆在城市段中心区域停车 45 秒,一名研究人员上前打开驾驶位车门再关闭,模拟乘客上车;车辆继续行驶后,先后经历一次危险行人过街(车辆停车 10 秒)和一次非危险行人过街(车辆正常行驶)。
3.3 测试环境
实验于弗吉尼亚理工大学交通研究所(VTTI)的弗吉尼亚智能道路开展,该场地为受控访问测试设施,包含依照弗吉尼亚州交通局道路标准修建的高速公路、城市道路(地面街道)和乡村道路等多种驾驶环境,能高度模拟真实的道路行驶场景。本研究选取其中的高速公路和城市道路段,搭建高度自动驾驶网约车的真实实验环境,保障实验的外部效度。
3.4 测试车辆
实验采用 2012 款凯迪拉克 SRX,由 VTTI 技术开发中心(CTD)改造为高度自动驾驶车辆(HAV),搭载 VTTI 自主研发的自动化车辆研究平台,该平台支持自动驾驶车辆感知、控制与界面策略的快速原型开发和测试。
为适配研究问题,车辆被编程为依照差分 GPS(DGPS)航点,沿预设路径自主行驶,无需驾驶员干预,所有车辆动力学行为(转向、加减速、制动)均由 Linux 平台的专有软件控制-中央处理器(CPU)通过自定义车辆控制逻辑,操控方向盘内的伺服电机实现转向,控制刹车中的线性执行器完成减速与停车,调节电子节气门实现加减速。
该实验车辆的自动化水平高于实验开展时的民用市场产品,但未具备 SAE 4 级或 5 级自动驾驶量产车的全部能力。研究采用 “绿野仙踪(Wizard of Oz)” 技术 ,基于 DGPS 为车辆预编程一系列特定操作,而非通过摄像头、激光雷达、雷达等量产感知传感器实现自主决策;同时,HMI 显示屏模拟未来 HAV 量产系统,展示时间序列图形,呈现每个预设场景中车辆的外部 “感知” 环境和路径规划信息,使参与者认为自己乘坐的是具备完整感知、决策和响应能力的 SAE 4/5 级 HAV。
实验中,车辆驾驶位空置,两名参与者坐在后排座椅,前排乘客位安排经专业培训的实验人员伪装成参与者,既营造 “无驾驶员” 的 HAV 体验,又能实时监控车辆系统、操作紧急停止系统和副驾驶侧机械联动制动踏板,保障实验安全。实验要求参与者全程禁止交流,尽可能减少相互影响,维持实验的严谨性。前排座椅头枕处安装视频显示屏,作为 HMI 信息呈现的载体,为不同 HMI 实验条件提供视觉和听觉输出,每位参与者面前均有独立显示屏,且所有屏幕展示的车辆与环境信息完全一致,如图2所示。

图2 为HMI实验安装的头枕视频显示屏
3.5 HMI 实验条件
研究利用 Unity 软件开发 HMI 系统。该软件最初为游戏平台设计,可构建二维和三维交互式虚拟环境。研究团队先通过测试路线的预行驶采集数据,将所有车辆实验场景转化为 Unity 虚拟仿真模型,再基于数据采集系统(DAS)收集的测试时长、行驶路径位置、车辆 DGPS 坐标、车速等参数,为每个场景预编程视觉和听觉 HMI 提示的触发时机。这种 “绿野仙踪” 实验技术,让参与者相信车辆处于完全自主驾驶状态,而实际呈现的大部分信息均由研究人员预编程设定。
所有参与者的首次实验均为无 HMI 条件,后续四次实验随机分配至无 HMI、仅听觉、仅视觉、混合模态四种条件中的一种,单轮实验时长约 4-5 分钟,整个实验流程(含实验前讲解、实验后问卷、车辆重置)约 1 小时。四种 HMI 实验条件的具体设置如下:
无 HMI:所有 HMI 系统均不激活,参与者在无任何车辆信息反馈的状态下乘坐 HAV,核心目的是量化用户对 HAV 的基础舒适、信任与安全感知。基于实验初期数据收集的趋势,该条件后续分为“知情”和“不知情”两个子条件:知情组在实验前,研究人员向参与者详细说明实验车辆的特性和实验环境;不知情组则省略上述信息。数据分析发现,知情 组的主观感知评分被人为抬高,导致与其他 HMI 条件对比时缺乏敏感性,因此“不知情的无 HMI 条件”被确定为实验的真实基线,用于大部分数据分析,该条件更贴合普通用户接触 HAV 的实际体验。
仅视觉 HMI:头枕显示屏向参与者展示与驾驶相关的核心信息,包括车辆预测行驶路径、人行横道、施工区等,其展示的车辆预测行驶路径如图3所示。该条件利用 Unity 的地理围栏功能触发行人过街、前车出现等关键事件,显示屏内容与道路上物体的实际运动精准同步,让参与者的体验与真实 HAV 高度一致。同时,该条件依托智能道路城市段和高速段的高精度三维仿真模型构建,模型中不仅包含集装箱、交通灯、建筑等永久道路设施,还针对特定场景预编程了交通锥等临时道路设施,这类细节是当时主流地图和车载 HMI 系统所不具备的。

图3 仅视觉HMI中展示的车辆预测行驶路径
仅听觉 HMI:通过头枕显示屏的扬声器,播放由 VTTI 研究人员自研的系列音调,提示车辆路线开始、停止、加速、减速、检测到行驶路径危险、路线完成等状态。音调由 Audacity 数字音频编辑软件生成,即通过生成不同频率的正弦波,调整波的时长、音调并添加音效,最终形成符合研究需求的提示音和警报音,音量高于正常驾驶噪音,但低于现有驾驶辅助系统的警报音。与仅视觉 HMI一致,该条件通过 Unity 的地理围栏功能标记行人过街等关键事件的发生位置,车辆进入或离开围栏时,自动触发对应的音调播放。研究中的音调设计借鉴了手动车辆的典型声音、低等级自动驾驶车辆的传统警报音,以及沃尔沃 360c 等自动驾驶概念车的音频设计。
混合模态 HMI:融合仅视觉和仅听觉 HMI 的所有功能,同时通过头枕显示屏的图像和扬声器的音调传达驾驶信息,利用视觉和听觉双感官通道,向参与者呈现车辆 “意图” 和道路环境信息。
3.6 数据收集与分析
本研究采用实验前问卷和实验后问卷相结合的方式,收集定性与主观定量数据,探究自变量与因变量之间的关系,自变量与因变量的具体类型和度量方式如表 2、表 3 所示。实验前问卷在参与者进入智能道路前的引导阶段发放,收集参与者的人口统计学特征、自动驾驶技术接触经历、感觉寻求倾向等自变量信息;实验后问卷在每轮实验场景结束后,于实验车辆内发放,收集参与者的舒适、信任、安全感知等因变量信息。
表2 研究自变量
表3 研究因变量

问卷采用7 点李克特量表进行量化评分,其中 1 分为 “强烈反对”,2-3 分为 “反对”,4 分为 “中立”,5-6 分为 “同意”,7 分为 “强烈同意”;同时设置 1-2个开放式问题,收集参与者对实验车辆、自动化系统和 HMI 的主观评价,补充质性数据。
数据处理与统计分析通过 Python 库完成,采用方差分析(ANOVA)检验自变量对因变量的显著影响,通过事后 Tukey-Kramer 显著性差异(HSD)检验,进一步分析不同组间的差异程度。实验分析中排除基线场景数据,采用 95% 置信区间计算所有统计图表的误差棒,保障分析结果的可靠性。
4.研究结果
本研究的所有汇总数据均以柱状图呈现,柱形上方数值为组平均值,柱形下方数值为各问卷问题的有效数据点数量(部分参与者未完成全部问卷),所有分析均排除基线场景数据,描述性统计、效应量和显著性的详细表格见研究附录。研究结果围绕 HMI 条件对用户感知的影响、HMI 对系统透明度的提升效果、影响用户 HAV 接受度的行为因素三个维度展开。
4.1 HMI 条件与用户舒适、安全、信任感知的关联
为回答“何种 HMI 策略能提升用户感知”这一核心研究问题,研究对比了不同 HMI 条件下参与者报告的舒适、信任与安全感知评分,结果如图 4 所示。统计分析结果显示,仅听觉 HMI 组参与者的舒适感(p=0.004)、信任感(p=0.002)和安全感(p<0.001)评分,均显著高于仅视觉 HMI 组;与研究假设相反,仅视觉 HMI 组的各项感知评分均为最低,甚至低于无 HMI 组。

图4 HMI条件与用户自我报告的舒适感(左上)、信任感(右上)、安全感(下)的关系
进一步分析发现,仅视觉 HMI 的负面效果主要源于两方面:其一,该系统放大了实验车辆的行驶缺陷,如车辆无法精准沿车道行驶的问题,会直接在显示屏上呈现,让参与者清晰感知到车辆的操作误差;其二,仅视觉 HMI 让参与者将注意力集中在显示屏上,而非观察实际的道路环境,当参与者发现屏幕显示的车辆路径与实际行驶轨迹不符,或车辆出现非预期的加减速、制动时,极易产生不安感。
而仅听觉 HMI 则有效规避了上述问题:该系统在向用户传达车辆状态、系统意图的同时,不会将参与者的注意力引向车辆的细微操作缺陷;参与者通过音频提示,能清晰知晓车辆何时检测到障碍物、何时即将制动,且无需转移视线,无需在屏幕和道路之间切换注意力,降低了认知负荷。同时,音频提示设计简洁、易理解,能让参与者快速捕捉核心信息,进一步提升了体验感知。
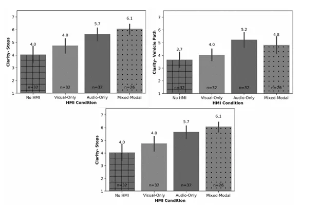
4.2 HMI条件与系统透明度的关联
已有研究表明,多模态呈现的信息能利用不同的感官通道,提升用户的信息处理和理解效率,减少用户干预车辆时的反应时间。本研究让参与者评价不同 HMI 条件下,车辆传达自身 “意图”(行驶路径、启停时机)和道路环境感知(危险检测)的清晰度,以此分析 HMI 对系统透明度的提升效果,结果如图 5 所示。

图5 HMI条件与车辆障碍物感知清晰度(左上)、行驶路径清晰度(右上)、停车意图清晰度(下)的关系
结果显示,混合模态和仅听觉 HMI在传达车辆 “意图” 方面效果最优,是提升系统透明度的有效方式:
仅听觉 HMI 在传达道路障碍物、车辆行驶路径方面,显著优于无 HMI 组(障碍物 p<0.001,路径 p<0.001)和仅视觉 HMI 组(障碍物 p=0.040,路径p=0.040);在传达车辆停车意图方面,显著优于无 HMI 组(p<0.001)。这一结果超出研究预期,因仅听觉 HMI 并未设计专门的音调来表示车辆行驶路径,仅通过加减速音调提示车辆运动状态,说明参与者对车辆 “意图” 的理解,并非依赖于对行驶路径的精准感知,而是更关注车辆启停、加减速等高层级信息。
混合模态 HMI 在传达道路障碍物(p<0.001)、车辆行驶路径(p<0.001)方面,显著优于无 HMI 组;在传达车辆停车意图方面,显著优于无 HMI 组(p<0.001)和仅视觉 HMI 组(p<0.001),是传达车辆停车意图的最优模态。该系统融合了听觉和视觉的优势,即 通过音频提示车辆的停车意图,通过视觉展示车辆的具体停车位置,为参与者提供了更丰富的驾驶环境细节,让参与者对车辆系统的理解更全面。
研究同时发现,参与者对仅听觉 HMI 的整体高偏好,使其对该系统在障碍物检测、停车意图、行驶路径等所有维度的评分均出现一定程度的抬高,这也是仅听觉 HMI 在行驶路径传达上表现优异的重要原因。
4.3 影响用户 HAV 接受度的关键行为因素
本研究重点分析了感觉寻求倾向和自动驾驶技术过往接触经历两大行为特征,对用户 HAV 舒适、安全、信任感知的影响,结果显示两类特征均对用户感知存在显著调节作用。
4.3.1 感觉寻求倾向
已有研究表明,高感觉寻求倾向者更愿意接受自动驾驶系统,接触新技术时会报告更高的舒适、信任与安全感知。本研究通过 19 题量表(改编自 Zuckerman 感觉寻求量表)测量参与者的感觉寻求倾向,其中 1-7 分为低倾向(不愿冒险),8-11 分为中倾向(中立),12-19 分为高倾向(倾向于冒险、追求刺激),不同倾向参与者的感知评分对比如图 6 所示。

图6 感觉寻求倾向与用户自我报告的舒适感(左上)、信任感(右上)、安全感(下)的关系
统计分析结果显示,高感觉寻求倾向者的舒适感显著高于中倾向者(p<0.001),安全感显著高于中倾向者(p<0.001)和低倾向者(p=0.0013);信任感虽高于中、低倾向者,但未达到统计显著性。这一结果与研究假设一致,高感觉寻求倾向者更愿意尝试新鲜事物、追求冒险体验,而乘坐无驾驶员的 HAV 属于新颖体验,这类参与者能更快适应,因此报告更高的感知评分。
低感觉寻求倾向者的感知评分虽低于高倾向者,但高于中倾向者(无统计显著性),原因在于这类参与者对 HAV 的态度更谨慎,会更密切地关注车辆和 HMI 系统的运行状态,当观察到车辆能对道路刺激做出合理、正确的响应时,其舒适和信任感知会得到显著提升。
4.3.2 自动驾驶技术过往接触经历
研究假设,有自动驾驶技术(ACC、LKA、AEB 等)接触经历的参与者,因对技术更熟悉,会在实验中报告更高的感知评分,不同接触经历参与者的感知评分对比如图 7 所示。

图7 自动驾驶技术接触经历与用户自我报告的舒适感(左上)、信任感(右上)、安全感(下)的关系
但实验结果与假设相反:有自动驾驶技术接触经历的参与者,其舒适感(p<0.001)、安全感(p<0.001)和信任感(p=0.030)评分,均显著低于无接触经历的参与者。结合开放式问卷的质性数据发现,这类参与者对民用市场上的自动驾驶系统的局限性有清晰认知,对实验中的 HAV 原型车抱有更高的期待;当发现原型车存在操作误差、功能不完善等问题时,会产生较大的心理落差,因此对车辆的评价更为苛刻,感知评分更低。这一结果与技术接受模型(TAM)和统一技术接受与使用模型(UTAUT)的结论相悖,也反映出用户对自动驾驶技术的 “熟悉度” 并非必然带来 “高接受度”,预期与实际的差距是重要的调节因素。
5.结论
本研究通过高保真实车实验探究了不同人机界面对高度自动驾驶车辆用户体验的影响,发现听觉和混合模态人机界面能显著提升用户的舒适、信任与安全感知,且更清晰传递车辆行驶意图、提升系统透明度;高感觉寻求倾向者的相关感知评分更高,而有自动驾驶技术接触经历的用户因期待更高,感知评分反而更低。研究表明,提升系统透明度可改善用户接受度,人机界面设计需保证信息与实际驾驶环境精准匹配,优先呈现核心信息并保留传统车辆反馈装置,混合模态界面更适配广泛用户群体。本研究存在场景覆盖有限、参与者年龄范围集中等局限性,未来可优化界面技术、设计复杂实验场景、引入生物特征数据并开展纵向研究,本研究结论也为自动驾驶汽车人机界面设计及技术落地提供了重要实证依据。
6.参考文献
Basantis A, Miller, M Doerzaph (2021). Assessing alternative approaches for conveying automated vehicle “intentions”. IEEE Transactions on Human-Machine Systems, 51(6), 622-631.
7.点评
该研究基于实车仿真实验与多维度变量分析,探究不同人机界面(HMI)对高度自动驾驶车辆(HAV)用户体验及车辆 “意图”感知的影响,填补了自动驾驶人机交互高保真实验研究不足与HMI 模态及用户特征交互作用机制不明的研究空白。然而研究存在局限,首先,参与者年龄范围集中,样本代表性不足;其次,实验场景未覆盖极端交通状况,且原型车辆的硬件特性可能影响用户感知。未来需扩大多年龄层、多背景样本以提升代表性;丰富实验场景并纳入生物特征数据,探究用户与 HAV 长期互动的感知变化规律,进一步提升结论普适性与实践价值。
注:由于水平有限,翻译中难免存在不准确或错误之处,请以原文为准,并欢迎指正。
知识搬运工(翻译者)丨 吉丹凤
审核丨 张思晴
出品丨 合肥工业大学 运输与安全研究所
版权声明
本文为《合肥工业大学 运输与安全研究所》独家撰写,如需转载,
请注明出处,谢谢!