本节开始介绍雷达前端算法,即雷达如何配置。
首先这里推荐两本书:FMCW Radar Design 和 Radar Signal Processing for Autonomous Driving
1、FMCW测距
假设 Tx 信号是正弦连续波 (CW),其公式如下:x(t)=Acos(2πft)
A是振幅,f是频率。如果所有这些能量都消失在空旷的天空中,就不会有返回信号。但是,如果在照射区域内有一个物体,例如建筑物墙壁,那么返回信号就会是:y(t)=Arcos[2πf(t−τ0)]=Arcos[2πft+ϕ]
这里,Ar是(现在非常弱的)回声信号的幅度,τ0是雷达与目标之间往返过程中产生的延迟。此参数包含有关目标距离的所有信息d0在其相位中,因为我们可以从上面的表达式写出:ϕ=−2πf*τ0,或τ0=−ϕ*f/2π
从上可以看出,d0是发射端和接收端之间的距离,由于波在传输过程中来回传播,距离增加了一倍。时间延迟τ0那么等于2d0/c,c是电磁波的速度:ϕ=−2πf2d0/c=−4π*d0/λ。λ是雷达的工作波长。
由此可估算距离:d0=λϕ/4π
负号已被删除,因为它是由延迟引起的,并且与距离无关。但是这种技术对于测距不起作用,因为正弦波是周期性的,其周期为2π。因此,阶段φ仅在范围内明确(−π到+π)。对于实际的无线电频率(毫米波雷达频段)来说,这个距离最多只有几厘米。
- 连续波雷达无法测量目标的距离。如前所述,未调制的连续波接收的相位 ϕ 仅在 −π 到 +π 范围内不模糊,因为混频器输出具有周期性,周期为 2π。由于没有时间或频率标记,因此无法区分例如第 100 个周期和第 105 个周期;
- 返回信号幅度 Ar 比发射信号幅度 A小几个数量级。在混频和模数转换过程中,Ar几乎被发射信号淹没。需要通过精心设计以最大程度地减少泄漏(单站)或物理上分离的天线(双站)来实现两者之间的分离。
- 使用简单的连续波 (CW) 来对抗加性噪声更加困难。带内噪声无法滤除,会对相位和频率估计产生不利影响。事实上,频率估计算法会受到信噪比 (SNR) 阈值效应的影响:低于某个信噪比时,均方误差会迅速增加。
- 在多径环境中,此类信号的多个副本之和具有相同的频率,但相位会因相量相加而发生旋转。调制连续波(CW)可以更好地处理多次反射,这一点我们稍后会看到。
- 区分雷达周围的多个目标非常困难,因为来自不同物体的返回波形相互重叠,其效果类似于多径环境,会扭曲相位并导致测距信息丢失。
- 连续波的频谱是单个窄脉冲。因此,它更容易受到其他传输的干扰。
线性调频脉冲是一种频率呈线性变化的信号。因此,该过程被称为线性调频 (LFM)。

图1 Up Chirpx(t)=ej(πμt(2)+2πft+θ),其中μ=B/Tc
图2 Down Chirp and Triangular ChirpFMCW 雷达发射频率调制的 CW 波形,假设单个目标距离为 d0,则返回的回波是同一信号的延迟版本。延迟回波绘制在下图的 Tx 时间线上。请注意,这不是实际波形,而是频率与时间的关系图,波形中的延迟 τ0也会引入频率差 fb,称为拍频或中频 (IF)。
图3 FMCW 差频测距fb=μ*τ0,τ0=2d0/c,μ=B/Tc
fb=μ*2d0/c, 或者 d0=c*fb/(2μ)=c*Tc*fb/(2B)
舍弃频率与时间的关系图,参考实际波形。延迟回波与Tx Chirp混合产生输出,y(t)=expj(2πfbt+ϕ)
图4 混频后输出信号
图5 multiple echosy(t)=expj(2πfb0t+ϕ0)+expj(2πfb1t+ϕ1)+expj(2πfb2t+ϕ2)
图6 multiple echos整个测距过程现在可以概括为下图所示。由于频域与测距轴可互换,因此用距离轴表示。
图7 multiple Chirp echosRef:https://wirelesspi.com/fmcw-radar-part-1-ranging/
Ref:https://www.ti.com/content/dam/videos/external-videos/en-us/2/3816841626001/5675916489001.mp4/subassets/Mmwave_webinar_Dec2017.pdf
从以上的论述可以总结以下几点(fb=μ*2d0/c, 或者 d0=c*fb/(2μ)=c*Tc*fb/(2B))
- 最大测量距离依赖雷达方程,但是FMCW设计最大测距和Chirp设计相关,这个设计值一般小于雷达方程中的最大作用距离;
- 在雷达设计带宽固定的情况下,调制斜率越大,相同距离目标在频域上的距离越大。

图8 雷达方程
图9 雷达最大作用距离的依赖项
图9 雷达测距分辨率和精度
图10 Effect of the modulation slope on the beat frequency separation2、Sawtooth Chirp(UpChirp or DownChirp)
当前车载FMCW雷达的调制波形基本都是Sawtooth Chirp。如下图所示,也称为Fast FMCW。其每个Chirp持续时间基本上是几十us量级。同时每个Frame中会有idle 时间,这个是留个信号处理以及雷达的功能安全自检的。
图11 Fast FMCW3、Triangular Chirp(Slow FMCW)
Triangular Chirp一般是过去FMCW雷达系统所用的,其Chirp一般调制时间是ms级的;下文对此做了一些比较和论述。
Ref:[IEEE 2001 CIE International Conference on Radar - Beijing, China (15-18 Oct. 2001)] 2001 CIE International Conference on Radar Proceedings (Cat No.01TH8559) - Waveform design principles for automotive radar systems | 10.1109/icr.2001.984612_Science Hub
图12 Slow FMCW4、Chirp 配置
Ref:https://e2e.ti.com/support/sensors-group/sensors/f/sensors-forum/593960/please-provide-the-timing-equations-for-the-fmcw-chirp-profile-specifically-tx-start-time-and-idle-time-for-mmwave-sensor-iwr1443
Ref:https://www.ti.com/lit/an/swra553a/swra553a.pdf?ts=1757893930257
图13 实际雷达MMIC中的Chirp配置
图14 实际雷达MMIC中的Chirp配置5、Advanced Ramp Sequence
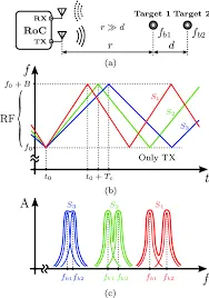
很多应用中需要兼顾远距(低分辨率)和近距(高分辨率)应用,所以就出现了Advanced Ramp Sequence,如下所示
https://www.researchgate.net/figure/Ramp-sequence-based-FMCW-radar-waveform-a-typical-waveform-with-modulation-slope-b_fig2_306273215
https://www.cadence.com/en_US/home/resources/white-papers/fp-fmcw-radar-signal-tensilica-dsps-wp.html
图15 Advanced Ramp Sequence6、FMCW体制雷达信号处理流
图16 FMCW雷达信号处理流