当前位置:首页>电动汽车>【SCI一区】【电动车】基于ADMM双层凸优化的燃料电池混合动力研究(Matlab代码实现)

【SCI一区】【电动车】基于ADMM双层凸优化的燃料电池混合动力研究(Matlab代码实现)

  • 2026-03-19 06:35:44
【SCI一区】【电动车】基于ADMM双层凸优化的燃料电池混合动力研究(Matlab代码实现)

💥💥💞💞欢迎来到本博客❤️❤️💥💥

🏆博主优势:🌞🌞🌞博客内容尽量做到思维缜密,逻辑清晰,为了方便读者。

⛳️座右铭:行百里者,半于九十。

💥1 概述

基于ADMM双层凸优化的燃料电池混合动力汽车研究

随着车辆互联性的出现,互联汽车 (CVs) 在增强道路安全、改善乘坐舒适性、提高交通效率和提高能源效率方面提供了巨大的潜力。通过从车对车 (V2V) 和车对基础设施 (V2I) 通信中获取交通信息,CV 能够更准确、更广泛地感知,从而有助于更好地做出决策。因此,CV 的个人或协作生态驾驶获得了更多通过优化车速来降低能源利用率的机会 [3]。燃料电池汽车(FCV)具有高效、节能、零污染等优点,已成为汽车电气化进程中的重要发展方向。 FCV可分为仅使用燃料电池的燃料电池电动汽车(FCEV)和燃料电池混合动力电动汽车(FCHEV)。

混合动力电动汽车 (HEV) 和插电式混合动力电动汽车 (PHEV),FCHEV 具有混合动力系统,包括电池在内的多种能源。混合动力汽车的能源消耗本质上与能源管理策略(EMS)相关,它决定了不同能源之间的能源分配。因此,FCHEV 的生态驾驶涉及能源管理,这比具有单一能源的车辆(例如内燃机汽车(ICEV)和电池电动汽车(BEV))更复杂。

互联燃料电池混合动力汽车的生态驾驶是一个速度规划和能量管理的耦合问题。为了减少计算量,双层优化解耦并分层解决上层子问题和下层子问题。本文提出了一种双水平凸方法,用于连接FCHEV通过多个信号交叉口的生态驾驶。在上层,将非线性交通灯约束转化为时变的线性状态约束,使用平均速度后,代价函数变成二次函数。在下层,对燃料电池系统和电池进行了模型的凸化。然后利用MOSEK求解器和交替方向乘法器(ADMM)算法依次求解上层速度规划和下层能量管理。结果表明,该方法在保持高能效的同时,大大降低了计算成本,计算时间仅为6.59%,与双级动态规划(DP)方法相比,燃油经济性基本相同。

 图 1 所示为所研究的 FCHEV 的动力总成拓扑结构,它由燃料电池系统和电池组组成。燃料电池系统通过 DC/DC 转换器连接到电源总线,并通过 DC/AC 逆变器与电池一起为电动机供电以驱动车辆。车辆和动力总成参数使用 ADVISOR中 FCHEV 的默认值,如表 1 所示。根据本文的主题,建模侧重于动力总成组件(即燃料电池、电池和电机)和其他组件(例如,DC/DC 转换器、DC/AC 逆变器和主减速器)的功率损耗不被考虑,这意味着它们的效率(例如,相应的 编辑DC/DC 、编辑DC/AC 和 编辑FD) 为 100%。

编辑

图1 FCHEV 的动力总成拓扑结构

电动车动力学方程 

电动车的纵向动力学可以表示为:

编辑

其中 v、M、fr 和 A 分别表示车辆的速度、质量、滚动阻力系数和正面面积;车辆加速度编辑; Fdrv 和 Fbrk 分别是电动机提供的机械力和车轮摩擦制动器提供的力; G是重力加速度;编辑表示道路坡道,编辑和 CD 分别表示空气密度和阻力系数。

因此,电动车编辑的功率需求由下式求得:

编辑

电池模型

本文采用包括内阻和电压源的等效电路模型,可表示为 :

编辑

其中Vbat、VOC、Ibat、R0、Pbat和POC分别为电池的电压、开路电压、电流、内阻、输出功率和化学功率。 VOC 和 R0 都是电池充电状态 (SOC) 的函数。因此,电池电流 Ibat 由下式给出:

编辑

数学模型详细内容可以参考后文。在本文第四节——Matlab代码实现中有文章。

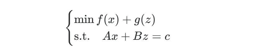
一、ADMM算法的基本原理与应用场景

交替方向乘子法(ADMM)是一种分布式凸优化算法,通过分解全局问题为多个子问题并交替优化,结合了对偶上升法的可分解性和增广拉格朗日方法的收敛性。其标准形式为:

编辑

其中,f和g为凸函数,x和z为优化变量,A、B为系数矩阵。ADMM的迭代过程包括三步:更新原变量xx和zz、更新全局辅助变量、更新拉格朗日乘子。其核心优势在于处理大规模分布式优化问题时的并行性和鲁棒性,尤其适用于高维数据或复杂约束场景。

在燃料电池混合动力汽车(FCHEV)中,ADMM通过分层优化架构(如全局能量分配与局部控制)实现多动力单元协同,同时满足实时性和计算效率需求。


二、燃料电池混合动力汽车的核心技术难点

  1. 高性能与长寿命需求  燃料电池系统需满足30,000小时或百万公里寿命,依赖催化剂、膜电极等材料的耐久性提升。金属双极板虽可提高功率密度(目标5 kW/L),但存在腐蚀问题,影响电堆稳定性。

  2. 动态响应与能量回收  燃料电池动态响应慢,无法回收制动能量,需结合电池或超级电容形成混合动力系统。能量分配的实时优化是关键挑战。

  3. 成本与基础设施瓶颈  铂基催化剂成本高昂,储氢罐体积大、安全性待提升,加氢站建设成本是传统加油站的2-3倍,制约商业化进程。

  4. 多能源协同控制  混合动力拓扑需平衡燃料电池、电池、超级电容的功率分配,同时考虑系统非线性与约束条件(如荷电状态、温度)。


三、ADMM在FCHEV能量管理中的应用案例

  1. 双层优化架构

    • 上层全局优化
      :基于车辆工况预测(如速度、负载),分配燃料电池与辅助能源的功率输出。
    • 下层局部控制
      :通过ADMM迭代求解各动力单元的最优指令,如燃料电池效率最大化、电池充放电损耗最小化。
    • 优势
      :分解复杂问题为可并行计算的子问题,降低计算复杂度(相比动态规划快2-3个数量级)。
  2. 生态驾驶策略  将车速规划与能量管理解耦:

    • 上层速度规划
      :将交通灯约束转化为时变线性状态约束,使用二次规划优化平均速度。
    • 下层能量管理
      :对燃料电池和电池模型进行凸化,采用ADMM求解实时功率分配,计算时间仅需动态规划的6.59%。
  3. 多微网协同调度  在新能源发电与车辆充电负荷的动态匹配中,改进ADMM模型协调光伏、风电与充电负荷,能源利用率提升57%。


四、最新研究进展与技术可行性

  1. 改进ADMM算法

    • 自适应惩罚参数
      :根据残差动态调整惩罚因子ρ,加速收敛(如从传统ADMM的2.34E-4优化至动态调整)。
    • 非凸问题扩展
      :通过松弛变量或凸近似处理燃料电池系统的非线性效率曲线,扩展ADMM适用性。
  2. 硬件在环验证  实验室平台验证显示,ADMM在实时控制中可处理1kHz采样频率的功率波动,满足车载控制器算力需求。

  3. 多目标优化框架  结合机会约束优化算法,处理车辆运动与设计变量中的不确定性(如路况突变、电池老化),提升系统鲁棒性。


五、技术挑战与未来方向

  1. 模型简化与精度平衡  凸化处理可能忽略DC/DC转换器效率的非线性特性,需引入分段线性化或数据驱动校正。

  2. 实时性优化  复杂工况(如频繁启停)下,需开发异步ADMM或预训练策略表,缩短下层优化响应时间。

  3. 非凸问题求解  燃料电池的极化曲线、温度效应等本质非凸特性,需结合序列凸规划(SCP)或深度学习增强ADMM。

  4. 跨系统集成  扩展至车-路-网协同优化,如V2G(车辆到电网)场景下ADMM协调充放电与电网调度。


六、结论

ADMM在燃料电池混合动力汽车中展现出显著优势:通过双层分解降低计算复杂度,实现全局优化与局部控制的实时协同。尽管存在模型简化风险与硬件依赖挑战,其在能源效率提升(如57%的利用率改进)和动态响应优化中的潜力已被广泛验证。未来研究需聚焦非凸扩展、异步计算及多模态数据融合,以推动FCHEV的大规模应用。

📚2 运行结果

编辑

编辑

编辑

编辑

编辑

编辑

编辑

编辑

编辑

🎉3 参考文献

部分理论来源于网络,如有侵权请联系删除。

编辑

🌈4 Matlab代码、数据、文章下载

公众号后台回复:程序下载

最新文章

随机文章

基本 文件 流程 错误 SQL 调试
  1. 请求信息 : 2026-04-12 01:33:23 HTTP/2.0 GET : https://e.mffb.com.cn/a/461765.html
  2. 运行时间 : 0.079545s [ 吞吐率:12.57req/s ] 内存消耗:4,375.13kb 文件加载:140
  3. 缓存信息 : 0 reads,0 writes
  4. 会话信息 : SESSION_ID=46761f8bf025b4f6d364196c416d712a
  1. /yingpanguazai/ssd/ssd1/www/e.mffb.com.cn/public/index.php ( 0.79 KB )
  2. /yingpanguazai/ssd/ssd1/www/e.mffb.com.cn/vendor/autoload.php ( 0.17 KB )
  3. /yingpanguazai/ssd/ssd1/www/e.mffb.com.cn/vendor/composer/autoload_real.php ( 2.49 KB )
  4. /yingpanguazai/ssd/ssd1/www/e.mffb.com.cn/vendor/composer/platform_check.php ( 0.90 KB )
  5. /yingpanguazai/ssd/ssd1/www/e.mffb.com.cn/vendor/composer/ClassLoader.php ( 14.03 KB )
  6. /yingpanguazai/ssd/ssd1/www/e.mffb.com.cn/vendor/composer/autoload_static.php ( 4.90 KB )
  7. /yingpanguazai/ssd/ssd1/www/e.mffb.com.cn/vendor/topthink/think-helper/src/helper.php ( 8.34 KB )
  8. /yingpanguazai/ssd/ssd1/www/e.mffb.com.cn/vendor/topthink/think-validate/src/helper.php ( 2.19 KB )
  9. /yingpanguazai/ssd/ssd1/www/e.mffb.com.cn/vendor/topthink/think-orm/src/helper.php ( 1.47 KB )
  10. /yingpanguazai/ssd/ssd1/www/e.mffb.com.cn/vendor/topthink/think-orm/stubs/load_stubs.php ( 0.16 KB )
  11. /yingpanguazai/ssd/ssd1/www/e.mffb.com.cn/vendor/topthink/framework/src/think/Exception.php ( 1.69 KB )
  12. /yingpanguazai/ssd/ssd1/www/e.mffb.com.cn/vendor/topthink/think-container/src/Facade.php ( 2.71 KB )
  13. /yingpanguazai/ssd/ssd1/www/e.mffb.com.cn/vendor/symfony/deprecation-contracts/function.php ( 0.99 KB )
  14. /yingpanguazai/ssd/ssd1/www/e.mffb.com.cn/vendor/symfony/polyfill-mbstring/bootstrap.php ( 8.26 KB )
  15. /yingpanguazai/ssd/ssd1/www/e.mffb.com.cn/vendor/symfony/polyfill-mbstring/bootstrap80.php ( 9.78 KB )
  16. /yingpanguazai/ssd/ssd1/www/e.mffb.com.cn/vendor/symfony/var-dumper/Resources/functions/dump.php ( 1.49 KB )
  17. /yingpanguazai/ssd/ssd1/www/e.mffb.com.cn/vendor/topthink/think-dumper/src/helper.php ( 0.18 KB )
  18. /yingpanguazai/ssd/ssd1/www/e.mffb.com.cn/vendor/symfony/var-dumper/VarDumper.php ( 4.30 KB )
  19. /yingpanguazai/ssd/ssd1/www/e.mffb.com.cn/vendor/topthink/framework/src/think/App.php ( 15.30 KB )
  20. /yingpanguazai/ssd/ssd1/www/e.mffb.com.cn/vendor/topthink/think-container/src/Container.php ( 15.76 KB )
  21. /yingpanguazai/ssd/ssd1/www/e.mffb.com.cn/vendor/psr/container/src/ContainerInterface.php ( 1.02 KB )
  22. /yingpanguazai/ssd/ssd1/www/e.mffb.com.cn/app/provider.php ( 0.19 KB )
  23. /yingpanguazai/ssd/ssd1/www/e.mffb.com.cn/vendor/topthink/framework/src/think/Http.php ( 6.04 KB )
  24. /yingpanguazai/ssd/ssd1/www/e.mffb.com.cn/vendor/topthink/think-helper/src/helper/Str.php ( 7.29 KB )
  25. /yingpanguazai/ssd/ssd1/www/e.mffb.com.cn/vendor/topthink/framework/src/think/Env.php ( 4.68 KB )
  26. /yingpanguazai/ssd/ssd1/www/e.mffb.com.cn/app/common.php ( 0.03 KB )
  27. /yingpanguazai/ssd/ssd1/www/e.mffb.com.cn/vendor/topthink/framework/src/helper.php ( 18.78 KB )
  28. /yingpanguazai/ssd/ssd1/www/e.mffb.com.cn/vendor/topthink/framework/src/think/Config.php ( 5.54 KB )
  29. /yingpanguazai/ssd/ssd1/www/e.mffb.com.cn/config/app.php ( 0.95 KB )
  30. /yingpanguazai/ssd/ssd1/www/e.mffb.com.cn/config/cache.php ( 0.78 KB )
  31. /yingpanguazai/ssd/ssd1/www/e.mffb.com.cn/config/console.php ( 0.23 KB )
  32. /yingpanguazai/ssd/ssd1/www/e.mffb.com.cn/config/cookie.php ( 0.56 KB )
  33. /yingpanguazai/ssd/ssd1/www/e.mffb.com.cn/config/database.php ( 2.48 KB )
  34. /yingpanguazai/ssd/ssd1/www/e.mffb.com.cn/vendor/topthink/framework/src/think/facade/Env.php ( 1.67 KB )
  35. /yingpanguazai/ssd/ssd1/www/e.mffb.com.cn/config/filesystem.php ( 0.61 KB )
  36. /yingpanguazai/ssd/ssd1/www/e.mffb.com.cn/config/lang.php ( 0.91 KB )
  37. /yingpanguazai/ssd/ssd1/www/e.mffb.com.cn/config/log.php ( 1.35 KB )
  38. /yingpanguazai/ssd/ssd1/www/e.mffb.com.cn/config/middleware.php ( 0.19 KB )
  39. /yingpanguazai/ssd/ssd1/www/e.mffb.com.cn/config/route.php ( 1.89 KB )
  40. /yingpanguazai/ssd/ssd1/www/e.mffb.com.cn/config/session.php ( 0.57 KB )
  41. /yingpanguazai/ssd/ssd1/www/e.mffb.com.cn/config/trace.php ( 0.34 KB )
  42. /yingpanguazai/ssd/ssd1/www/e.mffb.com.cn/config/view.php ( 0.82 KB )
  43. /yingpanguazai/ssd/ssd1/www/e.mffb.com.cn/app/event.php ( 0.25 KB )
  44. /yingpanguazai/ssd/ssd1/www/e.mffb.com.cn/vendor/topthink/framework/src/think/Event.php ( 7.67 KB )
  45. /yingpanguazai/ssd/ssd1/www/e.mffb.com.cn/app/service.php ( 0.13 KB )
  46. /yingpanguazai/ssd/ssd1/www/e.mffb.com.cn/app/AppService.php ( 0.26 KB )
  47. /yingpanguazai/ssd/ssd1/www/e.mffb.com.cn/vendor/topthink/framework/src/think/Service.php ( 1.64 KB )
  48. /yingpanguazai/ssd/ssd1/www/e.mffb.com.cn/vendor/topthink/framework/src/think/Lang.php ( 7.35 KB )
  49. /yingpanguazai/ssd/ssd1/www/e.mffb.com.cn/vendor/topthink/framework/src/lang/zh-cn.php ( 13.70 KB )
  50. /yingpanguazai/ssd/ssd1/www/e.mffb.com.cn/vendor/topthink/framework/src/think/initializer/Error.php ( 3.31 KB )
  51. /yingpanguazai/ssd/ssd1/www/e.mffb.com.cn/vendor/topthink/framework/src/think/initializer/RegisterService.php ( 1.33 KB )
  52. /yingpanguazai/ssd/ssd1/www/e.mffb.com.cn/vendor/services.php ( 0.14 KB )
  53. /yingpanguazai/ssd/ssd1/www/e.mffb.com.cn/vendor/topthink/framework/src/think/service/PaginatorService.php ( 1.52 KB )
  54. /yingpanguazai/ssd/ssd1/www/e.mffb.com.cn/vendor/topthink/framework/src/think/service/ValidateService.php ( 0.99 KB )
  55. /yingpanguazai/ssd/ssd1/www/e.mffb.com.cn/vendor/topthink/framework/src/think/service/ModelService.php ( 2.04 KB )
  56. /yingpanguazai/ssd/ssd1/www/e.mffb.com.cn/vendor/topthink/think-trace/src/Service.php ( 0.77 KB )
  57. /yingpanguazai/ssd/ssd1/www/e.mffb.com.cn/vendor/topthink/framework/src/think/Middleware.php ( 6.72 KB )
  58. /yingpanguazai/ssd/ssd1/www/e.mffb.com.cn/vendor/topthink/framework/src/think/initializer/BootService.php ( 0.77 KB )
  59. /yingpanguazai/ssd/ssd1/www/e.mffb.com.cn/vendor/topthink/think-orm/src/Paginator.php ( 11.86 KB )
  60. /yingpanguazai/ssd/ssd1/www/e.mffb.com.cn/vendor/topthink/think-validate/src/Validate.php ( 63.20 KB )
  61. /yingpanguazai/ssd/ssd1/www/e.mffb.com.cn/vendor/topthink/think-orm/src/Model.php ( 23.55 KB )
  62. /yingpanguazai/ssd/ssd1/www/e.mffb.com.cn/vendor/topthink/think-orm/src/model/concern/Attribute.php ( 21.05 KB )
  63. /yingpanguazai/ssd/ssd1/www/e.mffb.com.cn/vendor/topthink/think-orm/src/model/concern/AutoWriteData.php ( 4.21 KB )
  64. /yingpanguazai/ssd/ssd1/www/e.mffb.com.cn/vendor/topthink/think-orm/src/model/concern/Conversion.php ( 6.44 KB )
  65. /yingpanguazai/ssd/ssd1/www/e.mffb.com.cn/vendor/topthink/think-orm/src/model/concern/DbConnect.php ( 5.16 KB )
  66. /yingpanguazai/ssd/ssd1/www/e.mffb.com.cn/vendor/topthink/think-orm/src/model/concern/ModelEvent.php ( 2.33 KB )
  67. /yingpanguazai/ssd/ssd1/www/e.mffb.com.cn/vendor/topthink/think-orm/src/model/concern/RelationShip.php ( 28.29 KB )
  68. /yingpanguazai/ssd/ssd1/www/e.mffb.com.cn/vendor/topthink/think-helper/src/contract/Arrayable.php ( 0.09 KB )
  69. /yingpanguazai/ssd/ssd1/www/e.mffb.com.cn/vendor/topthink/think-helper/src/contract/Jsonable.php ( 0.13 KB )
  70. /yingpanguazai/ssd/ssd1/www/e.mffb.com.cn/vendor/topthink/think-orm/src/model/contract/Modelable.php ( 0.09 KB )
  71. /yingpanguazai/ssd/ssd1/www/e.mffb.com.cn/vendor/topthink/framework/src/think/Db.php ( 2.88 KB )
  72. /yingpanguazai/ssd/ssd1/www/e.mffb.com.cn/vendor/topthink/think-orm/src/DbManager.php ( 8.52 KB )
  73. /yingpanguazai/ssd/ssd1/www/e.mffb.com.cn/vendor/topthink/framework/src/think/Log.php ( 6.28 KB )
  74. /yingpanguazai/ssd/ssd1/www/e.mffb.com.cn/vendor/topthink/framework/src/think/Manager.php ( 3.92 KB )
  75. /yingpanguazai/ssd/ssd1/www/e.mffb.com.cn/vendor/psr/log/src/LoggerTrait.php ( 2.69 KB )
  76. /yingpanguazai/ssd/ssd1/www/e.mffb.com.cn/vendor/psr/log/src/LoggerInterface.php ( 2.71 KB )
  77. /yingpanguazai/ssd/ssd1/www/e.mffb.com.cn/vendor/topthink/framework/src/think/Cache.php ( 4.92 KB )
  78. /yingpanguazai/ssd/ssd1/www/e.mffb.com.cn/vendor/psr/simple-cache/src/CacheInterface.php ( 4.71 KB )
  79. /yingpanguazai/ssd/ssd1/www/e.mffb.com.cn/vendor/topthink/think-helper/src/helper/Arr.php ( 16.63 KB )
  80. /yingpanguazai/ssd/ssd1/www/e.mffb.com.cn/vendor/topthink/framework/src/think/cache/driver/File.php ( 7.84 KB )
  81. /yingpanguazai/ssd/ssd1/www/e.mffb.com.cn/vendor/topthink/framework/src/think/cache/Driver.php ( 9.03 KB )
  82. /yingpanguazai/ssd/ssd1/www/e.mffb.com.cn/vendor/topthink/framework/src/think/contract/CacheHandlerInterface.php ( 1.99 KB )
  83. /yingpanguazai/ssd/ssd1/www/e.mffb.com.cn/app/Request.php ( 0.09 KB )
  84. /yingpanguazai/ssd/ssd1/www/e.mffb.com.cn/vendor/topthink/framework/src/think/Request.php ( 55.78 KB )
  85. /yingpanguazai/ssd/ssd1/www/e.mffb.com.cn/app/middleware.php ( 0.25 KB )
  86. /yingpanguazai/ssd/ssd1/www/e.mffb.com.cn/vendor/topthink/framework/src/think/Pipeline.php ( 2.61 KB )
  87. /yingpanguazai/ssd/ssd1/www/e.mffb.com.cn/vendor/topthink/think-trace/src/TraceDebug.php ( 3.40 KB )
  88. /yingpanguazai/ssd/ssd1/www/e.mffb.com.cn/vendor/topthink/framework/src/think/middleware/SessionInit.php ( 1.94 KB )
  89. /yingpanguazai/ssd/ssd1/www/e.mffb.com.cn/vendor/topthink/framework/src/think/Session.php ( 1.80 KB )
  90. /yingpanguazai/ssd/ssd1/www/e.mffb.com.cn/vendor/topthink/framework/src/think/session/driver/File.php ( 6.27 KB )
  91. /yingpanguazai/ssd/ssd1/www/e.mffb.com.cn/vendor/topthink/framework/src/think/contract/SessionHandlerInterface.php ( 0.87 KB )
  92. /yingpanguazai/ssd/ssd1/www/e.mffb.com.cn/vendor/topthink/framework/src/think/session/Store.php ( 7.12 KB )
  93. /yingpanguazai/ssd/ssd1/www/e.mffb.com.cn/vendor/topthink/framework/src/think/Route.php ( 23.73 KB )
  94. /yingpanguazai/ssd/ssd1/www/e.mffb.com.cn/vendor/topthink/framework/src/think/route/RuleName.php ( 5.75 KB )
  95. /yingpanguazai/ssd/ssd1/www/e.mffb.com.cn/vendor/topthink/framework/src/think/route/Domain.php ( 2.53 KB )
  96. /yingpanguazai/ssd/ssd1/www/e.mffb.com.cn/vendor/topthink/framework/src/think/route/RuleGroup.php ( 22.43 KB )
  97. /yingpanguazai/ssd/ssd1/www/e.mffb.com.cn/vendor/topthink/framework/src/think/route/Rule.php ( 26.95 KB )
  98. /yingpanguazai/ssd/ssd1/www/e.mffb.com.cn/vendor/topthink/framework/src/think/route/RuleItem.php ( 9.78 KB )
  99. /yingpanguazai/ssd/ssd1/www/e.mffb.com.cn/route/app.php ( 1.72 KB )
  100. /yingpanguazai/ssd/ssd1/www/e.mffb.com.cn/vendor/topthink/framework/src/think/facade/Route.php ( 4.70 KB )
  101. /yingpanguazai/ssd/ssd1/www/e.mffb.com.cn/vendor/topthink/framework/src/think/route/dispatch/Controller.php ( 4.74 KB )
  102. /yingpanguazai/ssd/ssd1/www/e.mffb.com.cn/vendor/topthink/framework/src/think/route/Dispatch.php ( 10.44 KB )
  103. /yingpanguazai/ssd/ssd1/www/e.mffb.com.cn/app/controller/Index.php ( 4.81 KB )
  104. /yingpanguazai/ssd/ssd1/www/e.mffb.com.cn/app/BaseController.php ( 2.05 KB )
  105. /yingpanguazai/ssd/ssd1/www/e.mffb.com.cn/vendor/topthink/think-orm/src/facade/Db.php ( 0.93 KB )
  106. /yingpanguazai/ssd/ssd1/www/e.mffb.com.cn/vendor/topthink/think-orm/src/db/connector/Mysql.php ( 5.44 KB )
  107. /yingpanguazai/ssd/ssd1/www/e.mffb.com.cn/vendor/topthink/think-orm/src/db/PDOConnection.php ( 52.47 KB )
  108. /yingpanguazai/ssd/ssd1/www/e.mffb.com.cn/vendor/topthink/think-orm/src/db/Connection.php ( 8.39 KB )
  109. /yingpanguazai/ssd/ssd1/www/e.mffb.com.cn/vendor/topthink/think-orm/src/db/ConnectionInterface.php ( 4.57 KB )
  110. /yingpanguazai/ssd/ssd1/www/e.mffb.com.cn/vendor/topthink/think-orm/src/db/builder/Mysql.php ( 16.58 KB )
  111. /yingpanguazai/ssd/ssd1/www/e.mffb.com.cn/vendor/topthink/think-orm/src/db/Builder.php ( 24.06 KB )
  112. /yingpanguazai/ssd/ssd1/www/e.mffb.com.cn/vendor/topthink/think-orm/src/db/BaseBuilder.php ( 27.50 KB )
  113. /yingpanguazai/ssd/ssd1/www/e.mffb.com.cn/vendor/topthink/think-orm/src/db/Query.php ( 15.71 KB )
  114. /yingpanguazai/ssd/ssd1/www/e.mffb.com.cn/vendor/topthink/think-orm/src/db/BaseQuery.php ( 45.13 KB )
  115. /yingpanguazai/ssd/ssd1/www/e.mffb.com.cn/vendor/topthink/think-orm/src/db/concern/TimeFieldQuery.php ( 7.43 KB )
  116. /yingpanguazai/ssd/ssd1/www/e.mffb.com.cn/vendor/topthink/think-orm/src/db/concern/AggregateQuery.php ( 3.26 KB )
  117. /yingpanguazai/ssd/ssd1/www/e.mffb.com.cn/vendor/topthink/think-orm/src/db/concern/ModelRelationQuery.php ( 20.07 KB )
  118. /yingpanguazai/ssd/ssd1/www/e.mffb.com.cn/vendor/topthink/think-orm/src/db/concern/ParamsBind.php ( 3.66 KB )
  119. /yingpanguazai/ssd/ssd1/www/e.mffb.com.cn/vendor/topthink/think-orm/src/db/concern/ResultOperation.php ( 7.01 KB )
  120. /yingpanguazai/ssd/ssd1/www/e.mffb.com.cn/vendor/topthink/think-orm/src/db/concern/WhereQuery.php ( 19.37 KB )
  121. /yingpanguazai/ssd/ssd1/www/e.mffb.com.cn/vendor/topthink/think-orm/src/db/concern/JoinAndViewQuery.php ( 7.11 KB )
  122. /yingpanguazai/ssd/ssd1/www/e.mffb.com.cn/vendor/topthink/think-orm/src/db/concern/TableFieldInfo.php ( 2.63 KB )
  123. /yingpanguazai/ssd/ssd1/www/e.mffb.com.cn/vendor/topthink/think-orm/src/db/concern/Transaction.php ( 2.77 KB )
  124. /yingpanguazai/ssd/ssd1/www/e.mffb.com.cn/vendor/topthink/framework/src/think/log/driver/File.php ( 5.96 KB )
  125. /yingpanguazai/ssd/ssd1/www/e.mffb.com.cn/vendor/topthink/framework/src/think/contract/LogHandlerInterface.php ( 0.86 KB )
  126. /yingpanguazai/ssd/ssd1/www/e.mffb.com.cn/vendor/topthink/framework/src/think/log/Channel.php ( 3.89 KB )
  127. /yingpanguazai/ssd/ssd1/www/e.mffb.com.cn/vendor/topthink/framework/src/think/event/LogRecord.php ( 1.02 KB )
  128. /yingpanguazai/ssd/ssd1/www/e.mffb.com.cn/vendor/topthink/think-helper/src/Collection.php ( 16.47 KB )
  129. /yingpanguazai/ssd/ssd1/www/e.mffb.com.cn/vendor/topthink/framework/src/think/facade/View.php ( 1.70 KB )
  130. /yingpanguazai/ssd/ssd1/www/e.mffb.com.cn/vendor/topthink/framework/src/think/View.php ( 4.39 KB )
  131. /yingpanguazai/ssd/ssd1/www/e.mffb.com.cn/vendor/topthink/framework/src/think/Response.php ( 8.81 KB )
  132. /yingpanguazai/ssd/ssd1/www/e.mffb.com.cn/vendor/topthink/framework/src/think/response/View.php ( 3.29 KB )
  133. /yingpanguazai/ssd/ssd1/www/e.mffb.com.cn/vendor/topthink/framework/src/think/Cookie.php ( 6.06 KB )
  134. /yingpanguazai/ssd/ssd1/www/e.mffb.com.cn/vendor/topthink/think-view/src/Think.php ( 8.38 KB )
  135. /yingpanguazai/ssd/ssd1/www/e.mffb.com.cn/vendor/topthink/framework/src/think/contract/TemplateHandlerInterface.php ( 1.60 KB )
  136. /yingpanguazai/ssd/ssd1/www/e.mffb.com.cn/vendor/topthink/think-template/src/Template.php ( 46.61 KB )
  137. /yingpanguazai/ssd/ssd1/www/e.mffb.com.cn/vendor/topthink/think-template/src/template/driver/File.php ( 2.41 KB )
  138. /yingpanguazai/ssd/ssd1/www/e.mffb.com.cn/vendor/topthink/think-template/src/template/contract/DriverInterface.php ( 0.86 KB )
  139. /yingpanguazai/ssd/ssd1/www/e.mffb.com.cn/runtime/temp/600e51726691ba7063b44bb89d9aaaff.php ( 11.98 KB )
  140. /yingpanguazai/ssd/ssd1/www/e.mffb.com.cn/vendor/topthink/think-trace/src/Html.php ( 4.42 KB )
  1. CONNECT:[ UseTime:0.000469s ] mysql:host=127.0.0.1;port=3306;dbname=e_mffb;charset=utf8mb4
  2. SHOW FULL COLUMNS FROM `fenlei` [ RunTime:0.000615s ]
  3. SELECT * FROM `fenlei` WHERE `fid` = 0 [ RunTime:0.000293s ]
  4. SELECT * FROM `fenlei` WHERE `fid` = 63 [ RunTime:0.000296s ]
  5. SHOW FULL COLUMNS FROM `set` [ RunTime:0.000574s ]
  6. SELECT * FROM `set` [ RunTime:0.000239s ]
  7. SHOW FULL COLUMNS FROM `article` [ RunTime:0.000567s ]
  8. SELECT * FROM `article` WHERE `id` = 461765 LIMIT 1 [ RunTime:0.000475s ]
  9. UPDATE `article` SET `lasttime` = 1775928803 WHERE `id` = 461765 [ RunTime:0.000761s ]
  10. SELECT * FROM `fenlei` WHERE `id` = 66 LIMIT 1 [ RunTime:0.000552s ]
  11. SELECT * FROM `article` WHERE `id` < 461765 ORDER BY `id` DESC LIMIT 1 [ RunTime:0.001138s ]
  12. SELECT * FROM `article` WHERE `id` > 461765 ORDER BY `id` ASC LIMIT 1 [ RunTime:0.002066s ]
  13. SELECT * FROM `article` WHERE `id` < 461765 ORDER BY `id` DESC LIMIT 10 [ RunTime:0.001104s ]
  14. SELECT * FROM `article` WHERE `id` < 461765 ORDER BY `id` DESC LIMIT 10,10 [ RunTime:0.001026s ]
  15. SELECT * FROM `article` WHERE `id` < 461765 ORDER BY `id` DESC LIMIT 20,10 [ RunTime:0.001326s ]
0.081022s