当前位置:首页>电动汽车>文献分享|一种用于电动汽车中的HESS系统的自学习低通滤波器能量管理策略

文献分享|一种用于电动汽车中的HESS系统的自学习低通滤波器能量管理策略

  • 2026-04-07 23:02:46
文献分享|一种用于电动汽车中的HESS系统的自学习低通滤波器能量管理策略
文献导读

本分享的文献内容来源于期刊:

Energy Storage and Saving

原文信息:

  Hari Maghfiroh, Oyas Wahyunggoro, Adha Imam Cahyadi,Self-learning low-pass filter for energy management of hybrid energy storage electric vehicles,Energy Storage and Saving,2026,ISSN 2772-6835.

注:本发布仅限于分享国内外电动农机及其电动车辆领域的前沿科技及研究动态,不产生任何经济效益与盈利,所有发布内容请以原文信息为准。

PART01

研究介绍

电动汽车(EV)为减少交通运输行业排放提供了可持续的解决方案。然而,它们面临诸如高昂成本和机载能源容量有限等挑战。为解决这些问题,结合电池与超级电容器的混合储能系统(HESS)被引入。本研究提出了一种自学习低通滤波器(SL-LPF)能量管理策略(EMS)用于电动汽车中的HESS系统。与传统LPF方法存在相位移、缺乏电荷状态(SoC)控制和固定截止频率不同,SL-LPF集成了在线粒子群优化(PSO)机制,实时动态调整滤波器参数。这种方法只需基本的系统信息,使其适用于实际和改装的电动汽车应用。仿真结果显示,SL-LPF在数据有限的情况下,性能可与离线优化改进型LPF(ILPF)相当。在多次驱动周期内,SL-LPF的表现始终优于传统的LPF和模糊逻辑控制器LPF(FLC-LPF)。在全球协调轻型车辆测试周期(WLTC)中,SL-LPF相比纯电池电动车提升了20.07%的续航里程,仅相较ILPF差0.19%。这些发现凸显了SL-LPF作为HESS电动车低复杂度、数据高效的EMS解决方案的原创性和实用性。

PART02

研究内容

  本研究采用了符合表1规格的城市汽车,采用后对之前研究进行了改进。HESS由锂电池和SC组成,作为混合动力源使用。电池是主要电源,而SC是次级电源。根据能源分类,电池能量较高,SC属于高功率类别。高能量可以提供持久的能量,但功率较小;因此,它适合长途旅行。另一方面,在高功率下,SC可以在高电流下快速充放电,但只能持续短时间;因此,它适合加速和减速。

  HESS EV控制系统的结构如图1所示。绿色方框内的组件代表HESS,其余元素对应永磁同步电机(PMSM)的速度控制和载具载荷,称为滑翔机。HESS采用半主动拓扑结构,在SC侧采用单一双向直流-直流(DC-DC)转换器。这种拓扑结构在成本与控制能力之间提供了平衡。虽然被动拓扑最具成本效益,但缺乏功率控制。相反,主动拓扑(为每个ESS配备DC-DC转换器)提供了最高级别的电力共享控制,但成本显著更高。

  牵引电机使用PMSM。为了简化起见,它被建模为传递函数:

  其中J和B分别是转子惯性和粘性摩擦系数。同时,逆变器被建模为具有恒定效率。滑翔机作为载荷,采用牛顿运动定律建模如下:

  电机的功率请求计算公式为:

  在这些HESS电动车中,电池管理系统未被考虑。不过,增加了功率限制,以限制电池最大功率下车辆负载所需的功率。该机制确保电池在规定的最大电流下工作。因此,真实车辆的电池管理系统不会激活过压或过电流保护。采用制动电阻,当电池参考电流超过安全极限或制动模式下电池充满电时,电阻会激活。

  本研究采用了两种电池模型和SC模型,分别是HESS电动车厂的非线性和线性模型,以及在线优化。非线性模型分别使用MATLAB软件的通用电池模型和Stern-Tofel模型,分别用于电池和SC。电池和SC的线性模型为

  EMS对于在HESS EV中将负载功率分配到ESS各ESS至关重要。EMS技术已开发出多种;然而,其计算复杂性阻碍了某些方法的实现。实施LPF紧急医疗服务(LPF EMS)非常简单。此外,它可靠,能产生有利的动力学和环的减少效果[10]。低频与负载电流解耦并送入电池,是低频电源作为EMS运作的基本理念。其余信号同时以更高频率传输到SC。根据工作原理,它不能单独作为EMS运行。为了保持ESS在安全的SoC极限下运行,需要引入SoC限制器。图2展示了传统LPF电磁场的结构,其中我B0是低频负载电流输出,且我SC0是负载电流与低功率输出之间的差值,反映了直流-直流变换器在SC侧的位置。增加了SoC限制器,以保持SC工作在安全的SoC范围内。

  大多数关于HESS电动化电磁场LPF的研究都侧重于寻找最优截止频率。另一种则增加了负载变化的自适应能力。低压电磁场的相位偏移效应导致了显著损耗,因为它导致了HESS中ESS不必要的电力交换。然而,只有少数关于LPF电磁系统的研究解决了这一问题。它采用RB方法来减少LPF电磁系统中的相位偏移效应。

  在我们之前的研究中,曾提出使用ILPF来解决LPF问题。相位移效应和SoC极限通过RB方法解决。负载变化通过截止频率切换来解决,该方法区分了动力和制动。截止频率是通过PSO优化过程得出的。ILPF结构如图3所示,其中使用PSO得到fC1以及fc2解决了截止频率的确定和适应性问题。相位抑制器(PSR)是 RB 方法中减少相位偏移效应的一部分。然而,优化过程是在离线进行的;因此,培训需要完整的车辆和赛道数据。

  为克服ILPF方法的不足,本研究提出了SL-LPF方法。在ILPF方法中,需要一个全面的HESS EV模型来确定最优截止频率。然而,对于HESS电子服务仅能获得有限系统信息的实际场景,SL-LPF电磁系统被提出作为替代方案。

  SL-LPF解决了LPF紧急医疗服务的四个关键挑战。虽然SL-LPF和ILPF的基本概念相似,但在截止频率确定和适应性方面存在差异。ILPF依赖完整的驱动循环数据进行训练过程,而SL-LPF则通过通过窗口采样收集的较短数据段实现相同目标。为了提升SL-LPF中在线优化的效率,优化过程中采用了电池和SC的简化线性模型。

  所提SL-LPF方法的工作原理如图4所示。该方法引入了基于窗口优化截止频率的在线学习机制。为了实现以最小数据需求实现实时适配,SL-LPF采用窗口化概念,即在预设时间窗口内收集负载电流。一旦窗口包含足够的样本(例如1500个样本,代表30秒),数据便被传递给优化算法。该算法随后确定了改善性能指标的最佳截止频率,该指标定义为总行程距离。系统会继续以先前优化的截止频率运行,直到下一个窗口完全填充。

  SL-LPF的整体结构见图5,突出展示了窗口采样机制与在线优化模块的集成。与图3所示的ILPF方法不同,后者通过全驾驶周期数据在离线时优化截止频率,SL-LPF仅使用短期采样数据进行实时更新,使其更实用且更具适应性。

  SL-LPF方法的目标函数是最大化总行程距离(DT),即电动车在电池使用寿命内可行驶的总里程。定义为:

  其中:

 其中PB和 T 分别是电池功率和模拟时间。𝛩(𝑃𝐵(𝑡))表示考虑非负幂值的Heaviside阶梯函数。该优化过程的约束条件如下:

  The SoCSC限制在55%至95%之间,以防止SC过载和过放电。根据Hussain等人的说法,SC电荷不得超过最大电压的50%。因此,该限值选择在安全裕度低于100%且高于50%的情况下。

  在线优化算法的候选算法是梯度下降(GD)和PSO。这是因为GD和PSO相对轻量化,可以在低成本硬件上实时运行。此外,尽管目标函数(DT看起来线性,计算的底层过程涉及复杂的系统动力学,计算量极高。GD和PSO采用不同的方法。GD是一种确定性和局部优化方法,而PSO是一种受群体行为启发的随机全局优化方法。

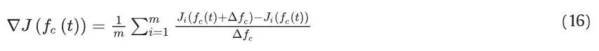
  GD 确定了最优fc通过计算目标函数相对于 的梯度fc.它会调整fc方向使目标函数约简。如果梯度大小减小,步长减小,这意味着在接近最小值时步长会减慢。该方法依赖梯度的方向和大小来获得最优fc.梯度的计算方法如下:

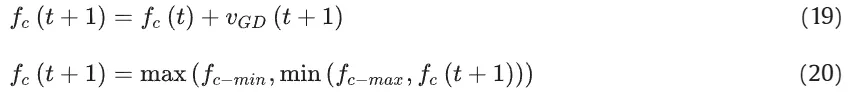
  其中 m 和 Δfc分别是数据大小和截止频率阶。然后,速度(经过梯度累积)计算为:

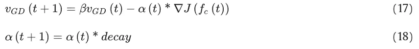
其中vGD, α,β分别是速度系数、学习率系数和动量系数。衰减用于每次迭代后减少α,步长接近最小值时减缓,有助于实现稳定收敛。随后,截止频率通过以下方式更新和约束:

  另一方面,PSO初始化一组随机值为fc穿越搜索空间。每个粒子评估目标函数,并跟踪单个和整个群体的最佳位置。粒子根据最佳位置调整它们的位置(Pbest)以及全局最佳位置(Gbest)在群体中。fc在所有粒子中,经过一定次数迭代后,选择最小目标函数作为输出。该位置的计算公式如下:

  其中pi以及vi分别是粒子i的当前位置和速度。速度的计算方法如下:

  其中w是惯性重,c1以及c2分别是认知权重和社会权重,且r1以及r2是 [0,1] 中的随机值。

  图6展示了PSO和GD方法的在线优化流程图。为了降低计算负载并实现实时实现,每个窗口的迭代次数受到限制,且仅评估少量候选解(模拟)数量(每次迭代设为四个)。HESS EV仿真模型包含两种模型:一种是非线性ESS模型,代表HESS EV系统的实际电厂行为;另一种是线性化ESS模型,用于优化模块内以减少计算时间。

  优化过程基于先前收集的窗口数据,而非当前实时输入,这使得它能够异步运行,计算开销较低。初始截止频率被设定为0.01 Hz,基于拉戈内图中的典型能量-功率特性。使用这种知情初始值可以增强收敛稳定性,因为随机初始化可能导致变慢或收敛不稳定,且迭代次数有限。GD和PSO优化器的调优参数,包括学习率、惯性权重和种群规模,分别汇总于表2、表3。

  与LPF电磁系统配合使用的一种技术是FLC,用于提供自适应能力。多位研究人员已证明FLC能增强LPF EMS的性能。LPF使用模糊逻辑根据SoC和SC的负载电流调整截止频率。模拟分析显示该方法具有高效率、减少电池损耗和降低电压波动。Zhang 等人曾用于基于自适应滤波的电池和 SC EMS。他们认为,所建议的方法能够有效保护电池并减少能源消耗。对于配备燃料电池(FC)、电池和SC的电动汽车,Snoussi等人建议采用基于自适应滤波的EMS。LPF的截止频率是模糊输出,而负载电流和SC的SoC是其输入。他们通过模拟验证了这一方法,并得出结论:有可能以低成本提升自主性和耐久性。

  本研究比较了所提SL-LPF的性能与基于先前研究的FLC-LPF。FLC的输入是SC SoC和负载电流,而输出为fc如图7所示,用于LPF EMS。SC SoC 的范围范围为 0% 至 100%,负载电流范围为 −127.5 A 至 127.5 A,fc在0.001 Hz和0.01 Hz之间。模糊语言变量定义如下:VL、L、M和H分别表示非常低、低、中和高;N、Z和P分别表示负、零和正。FLC规则列于表4。

  图8展示了FLC-LPF电磁系统(EMS)的结构。FLC接收负载电流(IL)和SC SoC作为输入,并生成截止频率(fc)作为其输出的LPF。作为额外的保障措施,还加入了SoC限制器,以保持SC SoC在可接受范围内。SC SoC 的限制设置为 55%−95%,与 SL-LPF 相同,方便进行公平对比。该 RB 系统的最终输出是 SC 的参考电流(ISC*).

  模拟测试验证了该方法的有效性。评估分为培训和验证两个阶段。训练阶段采用了全球协调轻型车辆测试周期(WLTC),因为它是电动车能耗和排放测量的广泛标准[34]。除了WLTC,验证阶段还涉及两个外部驱动周期:城市测功机驾驶计划(UDDS)和高速公路燃油经济测试周期(HWFET)。这些循环代表不同的驾驶条件:城市、乡村和高速公路。图9显示了WLTC、UDDS和HWFET的速度曲线,行驶距离分别为15.01公里、12.07公里和16.45公里。所有EMS方法均与两个基准比较:仅电池EV(基线)和FLC-LPF EMS。

  测试赛道不包含海拔或坡度变化。初始SoC值设置为电池60%,SC为75%;这些数值分别被选在可接受的作区间20%–100%和55%–95%范围内。这些中等值反映了真实电动汽车应用的典型初始化场景。

  GD-LPF和PSO-LPF都需要参数调谐。为了降低计算复杂度,每个优化窗口的模拟次数被限制为四次。这种权衡平衡了性能与嵌入式硬件的可行性。窗口大小起着关键作用,因为它决定了截止频率更新的频率。采样时间为0.02秒,测试了多个窗口大小。

  图10展示了优化性能如何随窗口大小变化。PSO-LPF在计算时间更短的情况下,始终能获得更高的目标函数值,而GD-LPF则更短。其最佳性能出现在50秒窗口,而GD-LPF在10秒窗口表现最佳。这种对比之所以出现,是因为

  •GD依赖于局部梯度信息,这受益于频繁的细粒度更新(短窗口)。

  •PSO采用随机全局搜索,当每次更新数据较多(窗口较长)时效果更好。

  这些发现支持选择PSO作为SL-LPF优化核心的合理性,因为它在适应性和计算效率之间提供了更优越的平衡。

  为量化这些改进,进行了使用WLTC驱动循环的比较分析,结果总结于表5。传统的低功率功率(LPF)方法(采用固定的0.01 Hz截止频率)相比纯电池系统带来边际增益。相比之下,ILPF、GD-LPF和PSO-LPF显著优于传统方法。PSO-LPF比传统LPF提升了最多5%的总行驶距离,并将与ILPF的性能差距缩小到仅0.186%。GD-LPF紧随其后,落后ILPF 0.309%。这些结果证实,尽管离线ILPF通过利用全周期数据实现了最高性能,但所提议的SL-LPF在提供实时适应性且仅需极少数据的情况下,几乎实现了相同的结果。

  尽管有其优势,在线优化方法如GD-LPF和PSO-LPF的性能仍低于离线方法。这种差异是因为离线优化利用整个数据集,从而能够识别出全局最优方案。相比之下,在线优化过程仅利用每个抽样窗口内的数据,这通常导致局部最优。然而,在线方法带来了明显优势,比如无需详细系统模型即可运行,并能适应驱动周期的实时变化。基于这些观察,PSO-LPF成为在线LPF优化方法中最有效的,因此被称为SL-LPF。

  图11展示了所有方法的截止频率分布和电流行为。传统的低功率电力具有固定的截止频率,而ILPF则使用开关值进行供电和制动。PSO-LPF由于其随机全局搜索,表现出较大的波动,显示出其对不同驾驶段的适应能力。GD-LPF显示截止频率变化更为缓慢,反映了其基于梯度的更新。在相位移减少方面,使用PSR的方法,包括ILPF、PSO-LPF和GD-LPF,显示出更平滑的电池电流分布和更少的SC过度使用。具体来说,传统液压压会导致SC频繁的电放电循环,导致能量损失。这些趋势凸显了通过PSR实现相位偏移缓解直接提升效率的事实。

  表6展示了以总行驶距离为主要比较指标的各行驶周期性能验证结果。结果显示,HESS在所有驾驶周期中均提升性能,包括城市驾驶(UDDS)、城市驾驶(WLTC)和高速公路驾驶(HWFET)。然而,由于高速路面处于稳态状态,加速和减速极少,性能提升效果较为明显,限制了SC的利用。

  结果显示,ILPF在所有行驶周期中实现了最长的行驶距离,展示了优于其他方法的能量管理能力。仅电池模式始终导致最短的行驶距离,因为SC没有额外的能量支持。在WLTC循环中,ILPF相比仅电池模式显著提升了20.296%,而SL-LPF则实现了20.072%的提升,差距仅为0.186%。FLC-LPF提供11.841%的适度涨幅。在UDDS周期中,ILPF再次优于其他模式,提升22.955%,紧随其后的是SL-LPF,提升22.685%。 FLC-LPF带来了显著的13.446%的改善。对于HWFET循环,由于驾驶条件更稳定,两模式之间的性能差异较小。ILPF在SL-LPF中保持略微优势,相比单电池电能提升约2%。这些微小的差异证明了SL-LPF即使仅依赖在线优化,且没有完整的系统或驱动循环数据,仍能实现接近最佳的性能。与其他方法相比,FLC-LPF方法的性能较低。这表明,虽然使用带有模糊逻辑的自适应低功率滤波器(adaptive LPF)有一定优势,但若不解决相位偏移效应并确保调谐正确,就无法完全优化低速电磁场(LPF EMS)。

  这些结果也支持了SL-LPF在实际电动汽车应用中的应用。虽然ILPF性能最佳,但离线优化需要完整的车辆和赛道数据。而SL-LPF则实现了相当的性能,但数据需求更少且灵活性更高。这使得SL-LPF非常适合系统模型和驱动模式尚未完全了解的实时HESS应用。

  一个关键的实际问题是SL-LPF是否能部署在真实电动车上。每个优化步骤每个窗口只需四个模拟,保持低复杂度。在标准台式处理器上,更新频率为每10至50秒,这在现代汽车级微控制器(如ARM Cortex-M4/M7、STM32)的范围内。这表明SL-LPF可以在嵌入式硬件中实际实现,无需高性能处理器。未来工作将探索硬件在环和实时嵌入式验证,以进一步验证其可行性。

PART03
研究结论

  本研究解决了ILPF EMS的局限性,后者依赖完整的车辆和驾驶周期数据进行离线优化。提出了一种SL-LPF,结合基于在线PSO的机制,仅使用线性ESS模型实时动态调整截止频率。

  WLTC、UDDS和HWFET驱动循环的模拟结果显示,SL-LPF始终优于传统LPF和FLC-LPF,较仅电池基线提升高达20.07%,且仅有0.19%的ILPF性能差距,尽管无需完全离线优化。这些发现凸显了SL-LPF在HESS电动汽车应用中的适应性、实用性和近乎最佳的效率。

  尽管如此,本研究未考虑温度变化、热管理或电池及SC的长期劣化。未来研究应纳入降解感知模型、自适应热策略和硬件在环验证,以进一步提升SL-LPF方法的稳健性和现实可行性。

END
  • 特别声明:本微信转载文章出于非商业性的教育和科研目的,如转载稿涉及版权等问题,请立即联系我们,我们会予以更改或删除相关文章,保证您的权益。
  • 发布者水平有限,疏漏在所难免,所有内容以原文信息为准。
  • 本页刊发内容未经许可禁止转载及使用,公众号投稿及转发请私信联系。
资料来源
  Hari Maghfiroh, Oyas Wahyunggoro, Adha Imam Cahyadi,Self-learning low-pass filter for energy management of hybrid energy storage electric vehicles,Energy Storage and Saving,2026,ISSN 2772-6835.
扫码关注我们

公众号| 电动农机研究与应用实验室

编辑|Eam Laber                         

最新文章

随机文章

基本 文件 流程 错误 SQL 调试
  1. 请求信息 : 2026-04-08 00:45:38 HTTP/2.0 GET : https://e.mffb.com.cn/a/462620.html
  2. 运行时间 : 0.098376s [ 吞吐率:10.17req/s ] 内存消耗:4,469.98kb 文件加载:140
  3. 缓存信息 : 0 reads,0 writes
  4. 会话信息 : SESSION_ID=9b35e59e480877468fddb1bf866e11f1
  1. /yingpanguazai/ssd/ssd1/www/e.mffb.com.cn/public/index.php ( 0.79 KB )
  2. /yingpanguazai/ssd/ssd1/www/e.mffb.com.cn/vendor/autoload.php ( 0.17 KB )
  3. /yingpanguazai/ssd/ssd1/www/e.mffb.com.cn/vendor/composer/autoload_real.php ( 2.49 KB )
  4. /yingpanguazai/ssd/ssd1/www/e.mffb.com.cn/vendor/composer/platform_check.php ( 0.90 KB )
  5. /yingpanguazai/ssd/ssd1/www/e.mffb.com.cn/vendor/composer/ClassLoader.php ( 14.03 KB )
  6. /yingpanguazai/ssd/ssd1/www/e.mffb.com.cn/vendor/composer/autoload_static.php ( 4.90 KB )
  7. /yingpanguazai/ssd/ssd1/www/e.mffb.com.cn/vendor/topthink/think-helper/src/helper.php ( 8.34 KB )
  8. /yingpanguazai/ssd/ssd1/www/e.mffb.com.cn/vendor/topthink/think-validate/src/helper.php ( 2.19 KB )
  9. /yingpanguazai/ssd/ssd1/www/e.mffb.com.cn/vendor/topthink/think-orm/src/helper.php ( 1.47 KB )
  10. /yingpanguazai/ssd/ssd1/www/e.mffb.com.cn/vendor/topthink/think-orm/stubs/load_stubs.php ( 0.16 KB )
  11. /yingpanguazai/ssd/ssd1/www/e.mffb.com.cn/vendor/topthink/framework/src/think/Exception.php ( 1.69 KB )
  12. /yingpanguazai/ssd/ssd1/www/e.mffb.com.cn/vendor/topthink/think-container/src/Facade.php ( 2.71 KB )
  13. /yingpanguazai/ssd/ssd1/www/e.mffb.com.cn/vendor/symfony/deprecation-contracts/function.php ( 0.99 KB )
  14. /yingpanguazai/ssd/ssd1/www/e.mffb.com.cn/vendor/symfony/polyfill-mbstring/bootstrap.php ( 8.26 KB )
  15. /yingpanguazai/ssd/ssd1/www/e.mffb.com.cn/vendor/symfony/polyfill-mbstring/bootstrap80.php ( 9.78 KB )
  16. /yingpanguazai/ssd/ssd1/www/e.mffb.com.cn/vendor/symfony/var-dumper/Resources/functions/dump.php ( 1.49 KB )
  17. /yingpanguazai/ssd/ssd1/www/e.mffb.com.cn/vendor/topthink/think-dumper/src/helper.php ( 0.18 KB )
  18. /yingpanguazai/ssd/ssd1/www/e.mffb.com.cn/vendor/symfony/var-dumper/VarDumper.php ( 4.30 KB )
  19. /yingpanguazai/ssd/ssd1/www/e.mffb.com.cn/vendor/topthink/framework/src/think/App.php ( 15.30 KB )
  20. /yingpanguazai/ssd/ssd1/www/e.mffb.com.cn/vendor/topthink/think-container/src/Container.php ( 15.76 KB )
  21. /yingpanguazai/ssd/ssd1/www/e.mffb.com.cn/vendor/psr/container/src/ContainerInterface.php ( 1.02 KB )
  22. /yingpanguazai/ssd/ssd1/www/e.mffb.com.cn/app/provider.php ( 0.19 KB )
  23. /yingpanguazai/ssd/ssd1/www/e.mffb.com.cn/vendor/topthink/framework/src/think/Http.php ( 6.04 KB )
  24. /yingpanguazai/ssd/ssd1/www/e.mffb.com.cn/vendor/topthink/think-helper/src/helper/Str.php ( 7.29 KB )
  25. /yingpanguazai/ssd/ssd1/www/e.mffb.com.cn/vendor/topthink/framework/src/think/Env.php ( 4.68 KB )
  26. /yingpanguazai/ssd/ssd1/www/e.mffb.com.cn/app/common.php ( 0.03 KB )
  27. /yingpanguazai/ssd/ssd1/www/e.mffb.com.cn/vendor/topthink/framework/src/helper.php ( 18.78 KB )
  28. /yingpanguazai/ssd/ssd1/www/e.mffb.com.cn/vendor/topthink/framework/src/think/Config.php ( 5.54 KB )
  29. /yingpanguazai/ssd/ssd1/www/e.mffb.com.cn/config/app.php ( 0.95 KB )
  30. /yingpanguazai/ssd/ssd1/www/e.mffb.com.cn/config/cache.php ( 0.78 KB )
  31. /yingpanguazai/ssd/ssd1/www/e.mffb.com.cn/config/console.php ( 0.23 KB )
  32. /yingpanguazai/ssd/ssd1/www/e.mffb.com.cn/config/cookie.php ( 0.56 KB )
  33. /yingpanguazai/ssd/ssd1/www/e.mffb.com.cn/config/database.php ( 2.48 KB )
  34. /yingpanguazai/ssd/ssd1/www/e.mffb.com.cn/vendor/topthink/framework/src/think/facade/Env.php ( 1.67 KB )
  35. /yingpanguazai/ssd/ssd1/www/e.mffb.com.cn/config/filesystem.php ( 0.61 KB )
  36. /yingpanguazai/ssd/ssd1/www/e.mffb.com.cn/config/lang.php ( 0.91 KB )
  37. /yingpanguazai/ssd/ssd1/www/e.mffb.com.cn/config/log.php ( 1.35 KB )
  38. /yingpanguazai/ssd/ssd1/www/e.mffb.com.cn/config/middleware.php ( 0.19 KB )
  39. /yingpanguazai/ssd/ssd1/www/e.mffb.com.cn/config/route.php ( 1.89 KB )
  40. /yingpanguazai/ssd/ssd1/www/e.mffb.com.cn/config/session.php ( 0.57 KB )
  41. /yingpanguazai/ssd/ssd1/www/e.mffb.com.cn/config/trace.php ( 0.34 KB )
  42. /yingpanguazai/ssd/ssd1/www/e.mffb.com.cn/config/view.php ( 0.82 KB )
  43. /yingpanguazai/ssd/ssd1/www/e.mffb.com.cn/app/event.php ( 0.25 KB )
  44. /yingpanguazai/ssd/ssd1/www/e.mffb.com.cn/vendor/topthink/framework/src/think/Event.php ( 7.67 KB )
  45. /yingpanguazai/ssd/ssd1/www/e.mffb.com.cn/app/service.php ( 0.13 KB )
  46. /yingpanguazai/ssd/ssd1/www/e.mffb.com.cn/app/AppService.php ( 0.26 KB )
  47. /yingpanguazai/ssd/ssd1/www/e.mffb.com.cn/vendor/topthink/framework/src/think/Service.php ( 1.64 KB )
  48. /yingpanguazai/ssd/ssd1/www/e.mffb.com.cn/vendor/topthink/framework/src/think/Lang.php ( 7.35 KB )
  49. /yingpanguazai/ssd/ssd1/www/e.mffb.com.cn/vendor/topthink/framework/src/lang/zh-cn.php ( 13.70 KB )
  50. /yingpanguazai/ssd/ssd1/www/e.mffb.com.cn/vendor/topthink/framework/src/think/initializer/Error.php ( 3.31 KB )
  51. /yingpanguazai/ssd/ssd1/www/e.mffb.com.cn/vendor/topthink/framework/src/think/initializer/RegisterService.php ( 1.33 KB )
  52. /yingpanguazai/ssd/ssd1/www/e.mffb.com.cn/vendor/services.php ( 0.14 KB )
  53. /yingpanguazai/ssd/ssd1/www/e.mffb.com.cn/vendor/topthink/framework/src/think/service/PaginatorService.php ( 1.52 KB )
  54. /yingpanguazai/ssd/ssd1/www/e.mffb.com.cn/vendor/topthink/framework/src/think/service/ValidateService.php ( 0.99 KB )
  55. /yingpanguazai/ssd/ssd1/www/e.mffb.com.cn/vendor/topthink/framework/src/think/service/ModelService.php ( 2.04 KB )
  56. /yingpanguazai/ssd/ssd1/www/e.mffb.com.cn/vendor/topthink/think-trace/src/Service.php ( 0.77 KB )
  57. /yingpanguazai/ssd/ssd1/www/e.mffb.com.cn/vendor/topthink/framework/src/think/Middleware.php ( 6.72 KB )
  58. /yingpanguazai/ssd/ssd1/www/e.mffb.com.cn/vendor/topthink/framework/src/think/initializer/BootService.php ( 0.77 KB )
  59. /yingpanguazai/ssd/ssd1/www/e.mffb.com.cn/vendor/topthink/think-orm/src/Paginator.php ( 11.86 KB )
  60. /yingpanguazai/ssd/ssd1/www/e.mffb.com.cn/vendor/topthink/think-validate/src/Validate.php ( 63.20 KB )
  61. /yingpanguazai/ssd/ssd1/www/e.mffb.com.cn/vendor/topthink/think-orm/src/Model.php ( 23.55 KB )
  62. /yingpanguazai/ssd/ssd1/www/e.mffb.com.cn/vendor/topthink/think-orm/src/model/concern/Attribute.php ( 21.05 KB )
  63. /yingpanguazai/ssd/ssd1/www/e.mffb.com.cn/vendor/topthink/think-orm/src/model/concern/AutoWriteData.php ( 4.21 KB )
  64. /yingpanguazai/ssd/ssd1/www/e.mffb.com.cn/vendor/topthink/think-orm/src/model/concern/Conversion.php ( 6.44 KB )
  65. /yingpanguazai/ssd/ssd1/www/e.mffb.com.cn/vendor/topthink/think-orm/src/model/concern/DbConnect.php ( 5.16 KB )
  66. /yingpanguazai/ssd/ssd1/www/e.mffb.com.cn/vendor/topthink/think-orm/src/model/concern/ModelEvent.php ( 2.33 KB )
  67. /yingpanguazai/ssd/ssd1/www/e.mffb.com.cn/vendor/topthink/think-orm/src/model/concern/RelationShip.php ( 28.29 KB )
  68. /yingpanguazai/ssd/ssd1/www/e.mffb.com.cn/vendor/topthink/think-helper/src/contract/Arrayable.php ( 0.09 KB )
  69. /yingpanguazai/ssd/ssd1/www/e.mffb.com.cn/vendor/topthink/think-helper/src/contract/Jsonable.php ( 0.13 KB )
  70. /yingpanguazai/ssd/ssd1/www/e.mffb.com.cn/vendor/topthink/think-orm/src/model/contract/Modelable.php ( 0.09 KB )
  71. /yingpanguazai/ssd/ssd1/www/e.mffb.com.cn/vendor/topthink/framework/src/think/Db.php ( 2.88 KB )
  72. /yingpanguazai/ssd/ssd1/www/e.mffb.com.cn/vendor/topthink/think-orm/src/DbManager.php ( 8.52 KB )
  73. /yingpanguazai/ssd/ssd1/www/e.mffb.com.cn/vendor/topthink/framework/src/think/Log.php ( 6.28 KB )
  74. /yingpanguazai/ssd/ssd1/www/e.mffb.com.cn/vendor/topthink/framework/src/think/Manager.php ( 3.92 KB )
  75. /yingpanguazai/ssd/ssd1/www/e.mffb.com.cn/vendor/psr/log/src/LoggerTrait.php ( 2.69 KB )
  76. /yingpanguazai/ssd/ssd1/www/e.mffb.com.cn/vendor/psr/log/src/LoggerInterface.php ( 2.71 KB )
  77. /yingpanguazai/ssd/ssd1/www/e.mffb.com.cn/vendor/topthink/framework/src/think/Cache.php ( 4.92 KB )
  78. /yingpanguazai/ssd/ssd1/www/e.mffb.com.cn/vendor/psr/simple-cache/src/CacheInterface.php ( 4.71 KB )
  79. /yingpanguazai/ssd/ssd1/www/e.mffb.com.cn/vendor/topthink/think-helper/src/helper/Arr.php ( 16.63 KB )
  80. /yingpanguazai/ssd/ssd1/www/e.mffb.com.cn/vendor/topthink/framework/src/think/cache/driver/File.php ( 7.84 KB )
  81. /yingpanguazai/ssd/ssd1/www/e.mffb.com.cn/vendor/topthink/framework/src/think/cache/Driver.php ( 9.03 KB )
  82. /yingpanguazai/ssd/ssd1/www/e.mffb.com.cn/vendor/topthink/framework/src/think/contract/CacheHandlerInterface.php ( 1.99 KB )
  83. /yingpanguazai/ssd/ssd1/www/e.mffb.com.cn/app/Request.php ( 0.09 KB )
  84. /yingpanguazai/ssd/ssd1/www/e.mffb.com.cn/vendor/topthink/framework/src/think/Request.php ( 55.78 KB )
  85. /yingpanguazai/ssd/ssd1/www/e.mffb.com.cn/app/middleware.php ( 0.25 KB )
  86. /yingpanguazai/ssd/ssd1/www/e.mffb.com.cn/vendor/topthink/framework/src/think/Pipeline.php ( 2.61 KB )
  87. /yingpanguazai/ssd/ssd1/www/e.mffb.com.cn/vendor/topthink/think-trace/src/TraceDebug.php ( 3.40 KB )
  88. /yingpanguazai/ssd/ssd1/www/e.mffb.com.cn/vendor/topthink/framework/src/think/middleware/SessionInit.php ( 1.94 KB )
  89. /yingpanguazai/ssd/ssd1/www/e.mffb.com.cn/vendor/topthink/framework/src/think/Session.php ( 1.80 KB )
  90. /yingpanguazai/ssd/ssd1/www/e.mffb.com.cn/vendor/topthink/framework/src/think/session/driver/File.php ( 6.27 KB )
  91. /yingpanguazai/ssd/ssd1/www/e.mffb.com.cn/vendor/topthink/framework/src/think/contract/SessionHandlerInterface.php ( 0.87 KB )
  92. /yingpanguazai/ssd/ssd1/www/e.mffb.com.cn/vendor/topthink/framework/src/think/session/Store.php ( 7.12 KB )
  93. /yingpanguazai/ssd/ssd1/www/e.mffb.com.cn/vendor/topthink/framework/src/think/Route.php ( 23.73 KB )
  94. /yingpanguazai/ssd/ssd1/www/e.mffb.com.cn/vendor/topthink/framework/src/think/route/RuleName.php ( 5.75 KB )
  95. /yingpanguazai/ssd/ssd1/www/e.mffb.com.cn/vendor/topthink/framework/src/think/route/Domain.php ( 2.53 KB )
  96. /yingpanguazai/ssd/ssd1/www/e.mffb.com.cn/vendor/topthink/framework/src/think/route/RuleGroup.php ( 22.43 KB )
  97. /yingpanguazai/ssd/ssd1/www/e.mffb.com.cn/vendor/topthink/framework/src/think/route/Rule.php ( 26.95 KB )
  98. /yingpanguazai/ssd/ssd1/www/e.mffb.com.cn/vendor/topthink/framework/src/think/route/RuleItem.php ( 9.78 KB )
  99. /yingpanguazai/ssd/ssd1/www/e.mffb.com.cn/route/app.php ( 1.72 KB )
  100. /yingpanguazai/ssd/ssd1/www/e.mffb.com.cn/vendor/topthink/framework/src/think/facade/Route.php ( 4.70 KB )
  101. /yingpanguazai/ssd/ssd1/www/e.mffb.com.cn/vendor/topthink/framework/src/think/route/dispatch/Controller.php ( 4.74 KB )
  102. /yingpanguazai/ssd/ssd1/www/e.mffb.com.cn/vendor/topthink/framework/src/think/route/Dispatch.php ( 10.44 KB )
  103. /yingpanguazai/ssd/ssd1/www/e.mffb.com.cn/app/controller/Index.php ( 4.81 KB )
  104. /yingpanguazai/ssd/ssd1/www/e.mffb.com.cn/app/BaseController.php ( 2.05 KB )
  105. /yingpanguazai/ssd/ssd1/www/e.mffb.com.cn/vendor/topthink/think-orm/src/facade/Db.php ( 0.93 KB )
  106. /yingpanguazai/ssd/ssd1/www/e.mffb.com.cn/vendor/topthink/think-orm/src/db/connector/Mysql.php ( 5.44 KB )
  107. /yingpanguazai/ssd/ssd1/www/e.mffb.com.cn/vendor/topthink/think-orm/src/db/PDOConnection.php ( 52.47 KB )
  108. /yingpanguazai/ssd/ssd1/www/e.mffb.com.cn/vendor/topthink/think-orm/src/db/Connection.php ( 8.39 KB )
  109. /yingpanguazai/ssd/ssd1/www/e.mffb.com.cn/vendor/topthink/think-orm/src/db/ConnectionInterface.php ( 4.57 KB )
  110. /yingpanguazai/ssd/ssd1/www/e.mffb.com.cn/vendor/topthink/think-orm/src/db/builder/Mysql.php ( 16.58 KB )
  111. /yingpanguazai/ssd/ssd1/www/e.mffb.com.cn/vendor/topthink/think-orm/src/db/Builder.php ( 24.06 KB )
  112. /yingpanguazai/ssd/ssd1/www/e.mffb.com.cn/vendor/topthink/think-orm/src/db/BaseBuilder.php ( 27.50 KB )
  113. /yingpanguazai/ssd/ssd1/www/e.mffb.com.cn/vendor/topthink/think-orm/src/db/Query.php ( 15.71 KB )
  114. /yingpanguazai/ssd/ssd1/www/e.mffb.com.cn/vendor/topthink/think-orm/src/db/BaseQuery.php ( 45.13 KB )
  115. /yingpanguazai/ssd/ssd1/www/e.mffb.com.cn/vendor/topthink/think-orm/src/db/concern/TimeFieldQuery.php ( 7.43 KB )
  116. /yingpanguazai/ssd/ssd1/www/e.mffb.com.cn/vendor/topthink/think-orm/src/db/concern/AggregateQuery.php ( 3.26 KB )
  117. /yingpanguazai/ssd/ssd1/www/e.mffb.com.cn/vendor/topthink/think-orm/src/db/concern/ModelRelationQuery.php ( 20.07 KB )
  118. /yingpanguazai/ssd/ssd1/www/e.mffb.com.cn/vendor/topthink/think-orm/src/db/concern/ParamsBind.php ( 3.66 KB )
  119. /yingpanguazai/ssd/ssd1/www/e.mffb.com.cn/vendor/topthink/think-orm/src/db/concern/ResultOperation.php ( 7.01 KB )
  120. /yingpanguazai/ssd/ssd1/www/e.mffb.com.cn/vendor/topthink/think-orm/src/db/concern/WhereQuery.php ( 19.37 KB )
  121. /yingpanguazai/ssd/ssd1/www/e.mffb.com.cn/vendor/topthink/think-orm/src/db/concern/JoinAndViewQuery.php ( 7.11 KB )
  122. /yingpanguazai/ssd/ssd1/www/e.mffb.com.cn/vendor/topthink/think-orm/src/db/concern/TableFieldInfo.php ( 2.63 KB )
  123. /yingpanguazai/ssd/ssd1/www/e.mffb.com.cn/vendor/topthink/think-orm/src/db/concern/Transaction.php ( 2.77 KB )
  124. /yingpanguazai/ssd/ssd1/www/e.mffb.com.cn/vendor/topthink/framework/src/think/log/driver/File.php ( 5.96 KB )
  125. /yingpanguazai/ssd/ssd1/www/e.mffb.com.cn/vendor/topthink/framework/src/think/contract/LogHandlerInterface.php ( 0.86 KB )
  126. /yingpanguazai/ssd/ssd1/www/e.mffb.com.cn/vendor/topthink/framework/src/think/log/Channel.php ( 3.89 KB )
  127. /yingpanguazai/ssd/ssd1/www/e.mffb.com.cn/vendor/topthink/framework/src/think/event/LogRecord.php ( 1.02 KB )
  128. /yingpanguazai/ssd/ssd1/www/e.mffb.com.cn/vendor/topthink/think-helper/src/Collection.php ( 16.47 KB )
  129. /yingpanguazai/ssd/ssd1/www/e.mffb.com.cn/vendor/topthink/framework/src/think/facade/View.php ( 1.70 KB )
  130. /yingpanguazai/ssd/ssd1/www/e.mffb.com.cn/vendor/topthink/framework/src/think/View.php ( 4.39 KB )
  131. /yingpanguazai/ssd/ssd1/www/e.mffb.com.cn/vendor/topthink/framework/src/think/Response.php ( 8.81 KB )
  132. /yingpanguazai/ssd/ssd1/www/e.mffb.com.cn/vendor/topthink/framework/src/think/response/View.php ( 3.29 KB )
  133. /yingpanguazai/ssd/ssd1/www/e.mffb.com.cn/vendor/topthink/framework/src/think/Cookie.php ( 6.06 KB )
  134. /yingpanguazai/ssd/ssd1/www/e.mffb.com.cn/vendor/topthink/think-view/src/Think.php ( 8.38 KB )
  135. /yingpanguazai/ssd/ssd1/www/e.mffb.com.cn/vendor/topthink/framework/src/think/contract/TemplateHandlerInterface.php ( 1.60 KB )
  136. /yingpanguazai/ssd/ssd1/www/e.mffb.com.cn/vendor/topthink/think-template/src/Template.php ( 46.61 KB )
  137. /yingpanguazai/ssd/ssd1/www/e.mffb.com.cn/vendor/topthink/think-template/src/template/driver/File.php ( 2.41 KB )
  138. /yingpanguazai/ssd/ssd1/www/e.mffb.com.cn/vendor/topthink/think-template/src/template/contract/DriverInterface.php ( 0.86 KB )
  139. /yingpanguazai/ssd/ssd1/www/e.mffb.com.cn/runtime/temp/600e51726691ba7063b44bb89d9aaaff.php ( 11.98 KB )
  140. /yingpanguazai/ssd/ssd1/www/e.mffb.com.cn/vendor/topthink/think-trace/src/Html.php ( 4.42 KB )
  1. CONNECT:[ UseTime:0.000920s ] mysql:host=127.0.0.1;port=3306;dbname=e_mffb;charset=utf8mb4
  2. SHOW FULL COLUMNS FROM `fenlei` [ RunTime:0.001648s ]
  3. SELECT * FROM `fenlei` WHERE `fid` = 0 [ RunTime:0.001820s ]
  4. SELECT * FROM `fenlei` WHERE `fid` = 63 [ RunTime:0.002277s ]
  5. SHOW FULL COLUMNS FROM `set` [ RunTime:0.001376s ]
  6. SELECT * FROM `set` [ RunTime:0.002125s ]
  7. SHOW FULL COLUMNS FROM `article` [ RunTime:0.001468s ]
  8. SELECT * FROM `article` WHERE `id` = 462620 LIMIT 1 [ RunTime:0.001930s ]
  9. UPDATE `article` SET `lasttime` = 1775580338 WHERE `id` = 462620 [ RunTime:0.000734s ]
  10. SELECT * FROM `fenlei` WHERE `id` = 66 LIMIT 1 [ RunTime:0.000296s ]
  11. SELECT * FROM `article` WHERE `id` < 462620 ORDER BY `id` DESC LIMIT 1 [ RunTime:0.000450s ]
  12. SELECT * FROM `article` WHERE `id` > 462620 ORDER BY `id` ASC LIMIT 1 [ RunTime:0.000410s ]
  13. SELECT * FROM `article` WHERE `id` < 462620 ORDER BY `id` DESC LIMIT 10 [ RunTime:0.001520s ]
  14. SELECT * FROM `article` WHERE `id` < 462620 ORDER BY `id` DESC LIMIT 10,10 [ RunTime:0.003788s ]
  15. SELECT * FROM `article` WHERE `id` < 462620 ORDER BY `id` DESC LIMIT 20,10 [ RunTime:0.003385s ]
0.100016s